Seneste opdatering :
27/01/2026
Antibiotisk   Gentamicin sulfate  
Øjendråber
Injektion
Stabilitet af farmaceutiske tilberedninger Stabilitet i blandinger Faktorer der påvirker stabiliteten Kompatibilitet Bibliografi pdf
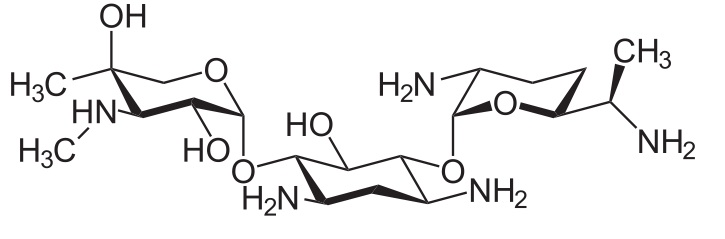
   Kemisk struktur  

Øjendråber
Stabilitet i blandinger   Øjendråber   Stabilitet i blandinger : Gentamicin sulfate     
Ingen data

  Mentions Légales