最新更新 :
27/01/2026
抗生素   Gentamicin sulfate  
眼药水
注射液
制剂的稳定性 混合物稳定性 影响稳定性的因素 兼容性 引用文献 PDF
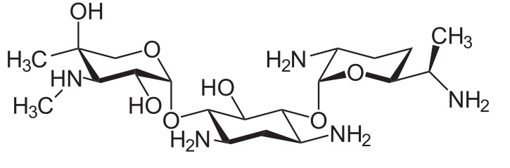
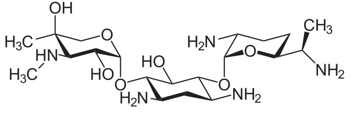
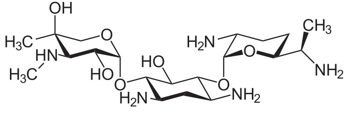
   化学式  

眼药水
混合物稳定性   眼药水   混合物稳定性 : Gentamicin sulfate     
无数据

  Mentions Légales