Posledná aktualizácia :
27/01/2026
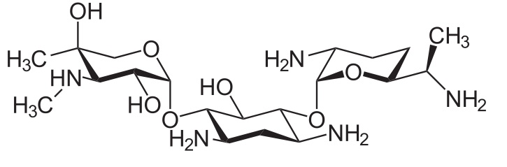
antibiotikum   Gentamicin sulfate  
Očná instilácia
Injekcia
Stabilita farmaceutických prípravkov Stabilita v zmesiach Faktory ovplyvňujúce stabilitu Kompatibility Odkazy na literatúru PDF
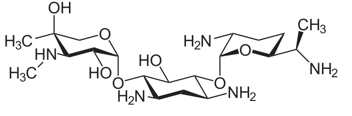
   Chemický vzorec  

Očná instilácia
Stabilita v zmesiach   Očná instilácia   Stabilita v zmesiach : Gentamicin sulfate     
žiadne údaje

  Mentions Légales