Son güncelleme :
27/01/2026
Antibiyotik   Gentamicin sulfate  
Göz damlası
Enjeksiyon
Farmasötik preparatlar Kararlılığı Karışımlardaki stabilitesi Stabiliteyi etkileyen faktörler Uyumluluk Kaynaklar pdf
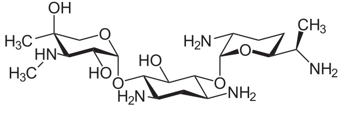
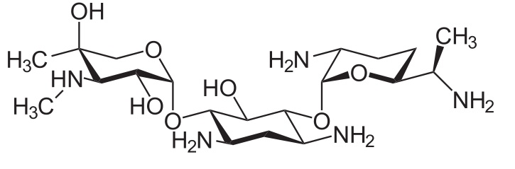
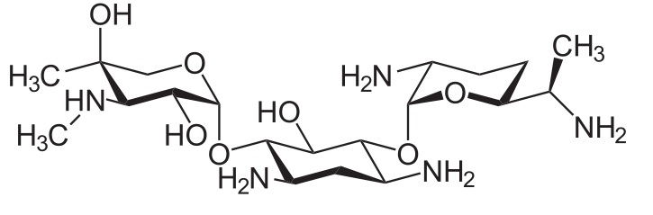
   Kimyasal yapı   

Göz damlası
Karışımlardaki stabilitesi   Göz damlası   Karışımlardaki stabilitesi : Gentamicin sulfate     
veri yok

  Mentions Légales