Última actualização :
27/01/2026
antibiótico   Gentamicin sulfate  
solução oftálmica
injetável
Estabilidade de preparações farmacêuticas Estabilidade em misturas Factores que afectam a sua estabilidade Compatibilidade Bibliografía pdf
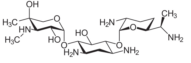
   estrutura química  

solução oftálmica
Estabilidade em misturas   solução oftálmica   Estabilidade em misturas : Gentamicin sulfate     
Ausência de dados

  Mentions Légales