Ultimele actualizari :
27/01/2026
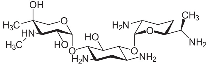
Antibiotic   Gentamicin sulfate  
colir
Injectabil
Stabilitatea preparatelor farmaceutice Stabilitatea in amestec Factorii care influenteaza stabilitatea Compatibilitate Bibliografie pdf
   Formula chimica  

colir
Stabilitatea in amestec   colir   Stabilitatea in amestec : Gentamicin sulfate     
Absenta de date

  Mentions Légales