Poslední aktualizace :
27/04/2026
Protiplísňový přípravek   Amphotericin B  
Humbuk
Aerosol injekce kloktadlo Perorální roztok
Stabilita farmaceutických přípravků Stabilita směsí Faktory ovlivňující stabilitu Kompatibilita Odkazy pdf
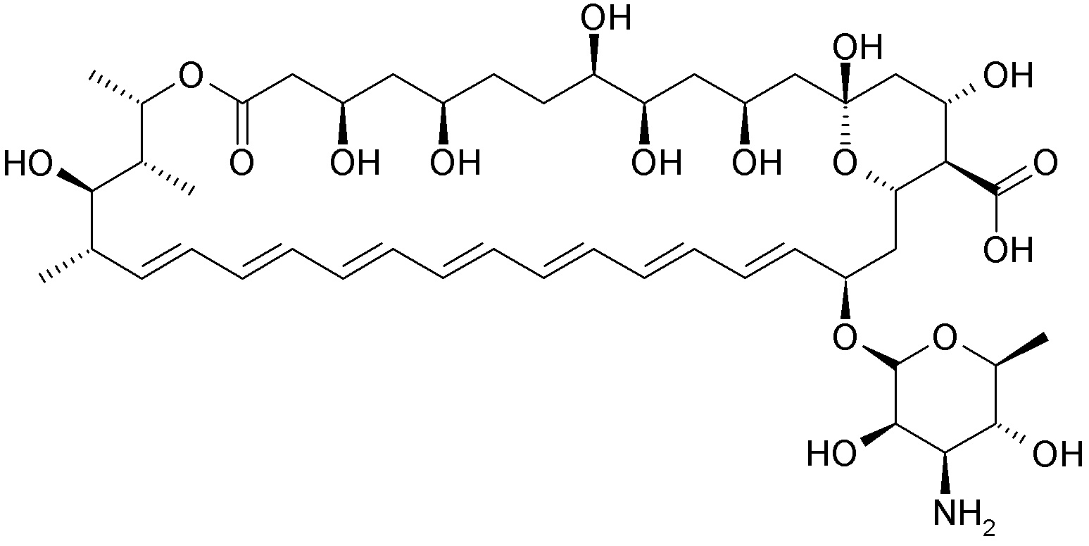
   Chemický vzorec  

Humbuk
Stabilita směsí   Humbuk   Stabilita směsí : Amphotericin B     
žádná data

  Mentions Légales