viimane versioon :
27/04/2026
Seenevastane ravim   Amphotericin B  
Silmatilgad
aerosool Süsteravim suukaudne lahus Suuloputus lahus
Stabiilsust ravimpreparaadid Stabiilsust mõjutavad tegurid stabiilsust mõjutavad faktorid Sobimatus Viited pdf
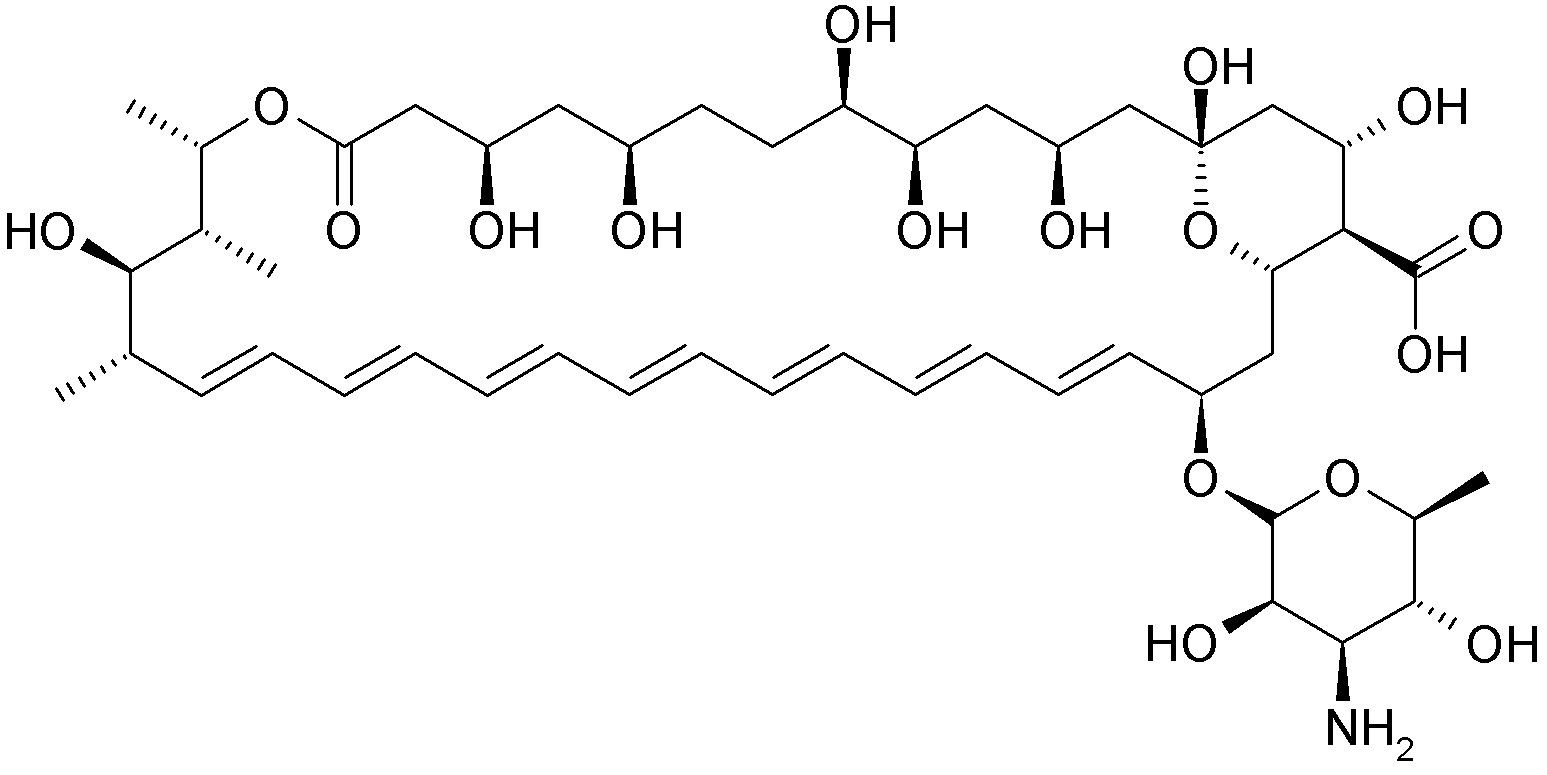
   keemiline struktuur  

Silmatilgad
Stabiilsust mõjutavad tegurid   Silmatilgad   Stabiilsust mõjutavad tegurid : Amphotericin B     
andmed puuduvad

  Mentions Légales