Utolsó frissítés :
27/04/2026
Gombaellenes szer   Amphotericin B  
Szemcsepp
aeroszol belsőleges oldat Injekció Szájvíz
Stabilitása gyógyszerészeti készítmények A keverékek stabilitása Stabilitást befolyásoló tényezők Kompatibilitás Irodalom pdf
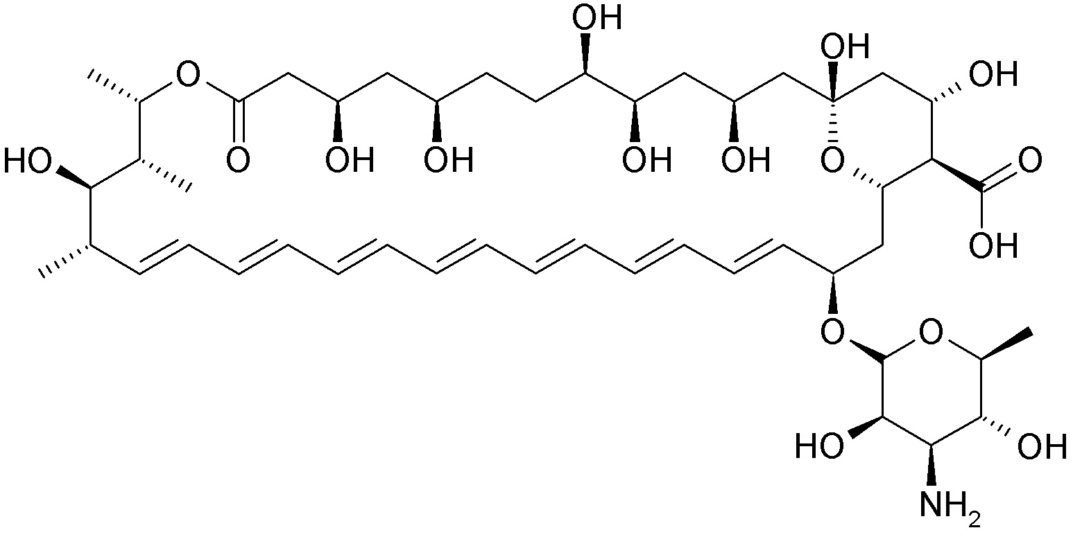
   Kémiai szerkezet   

Szemcsepp
A keverékek stabilitása   Szemcsepp   A keverékek stabilitása : Amphotericin B     
Hiányzó adat

  Mentions Légales