Seneste opdatering :
27/04/2026
Antisvampe   Amphotericin B  
Øjendråber
Aerosol Injektion Mundskyllevæske Oral opløsning
Stabilitet af farmaceutiske tilberedninger Stabilitet i blandinger Faktorer der påvirker stabiliteten Kompatibilitet Bibliografi pdf
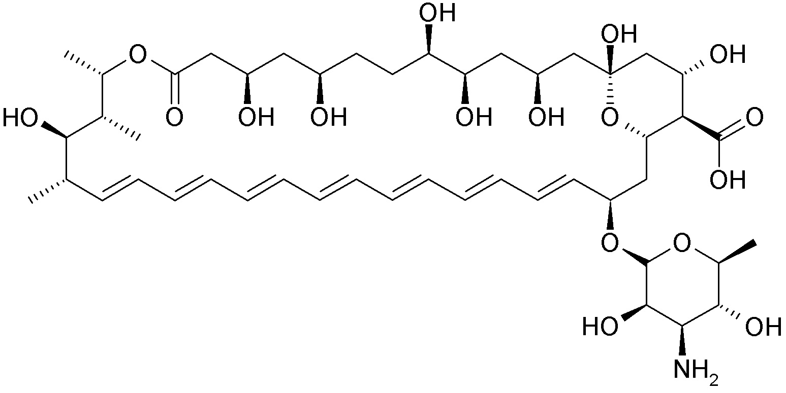
   Kemisk struktur  

Øjendråber
Stabilitet i blandinger   Øjendråber   Stabilitet i blandinger : Amphotericin B     
Ingen data

  Mentions Légales