Última actualização :
27/04/2026
Antifúngico   Amphotericin B  
solução oftálmica
aerossol colutório injetável Solução Oral
Estabilidade de preparações farmacêuticas Estabilidade em misturas Factores que afectam a sua estabilidade Compatibilidade Bibliografía pdf
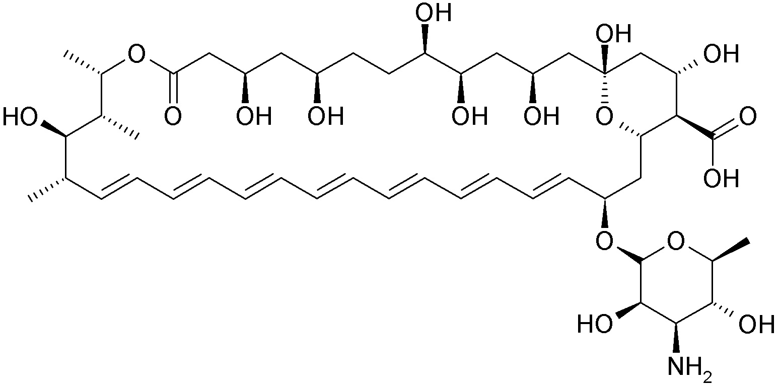
   estrutura química  

solução oftálmica
Estabilidade em misturas   solução oftálmica   Estabilidade em misturas : Amphotericin B     
Ausência de dados

  Mentions Légales