آخر تحديث :
27/04/2026
مضاد للفطريات   Amphotericin B  
قطرات العين
الأيروصولات حقن عن طريق الفم  غسول الفم
استقرار المستحضرات الصيدلانية استقرار مخاليط العوامل التي تؤثر على الاستقرار التوافق مراجع pdf
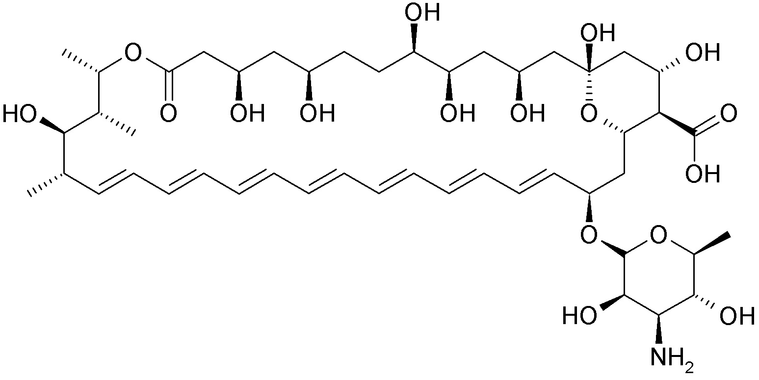
   التركيب الكيميائي  

قطرات العين
استقرار مخاليط   قطرات العين   استقرار مخاليط : Amphotericin B     
لا توجد بيانات

  Mentions Légales