Última actualización :
27/04/2026
Antifúngico   Amphotericin B  
Gotas oculares
Aerosol Enjuagues bucales Inyectables Solución Oral
La estabilidad de las preparaciones farmacéuticas Estabilidad en mezcla Factores que influyen sobre la estabilidad Compatibilidades Bibliografía pdf
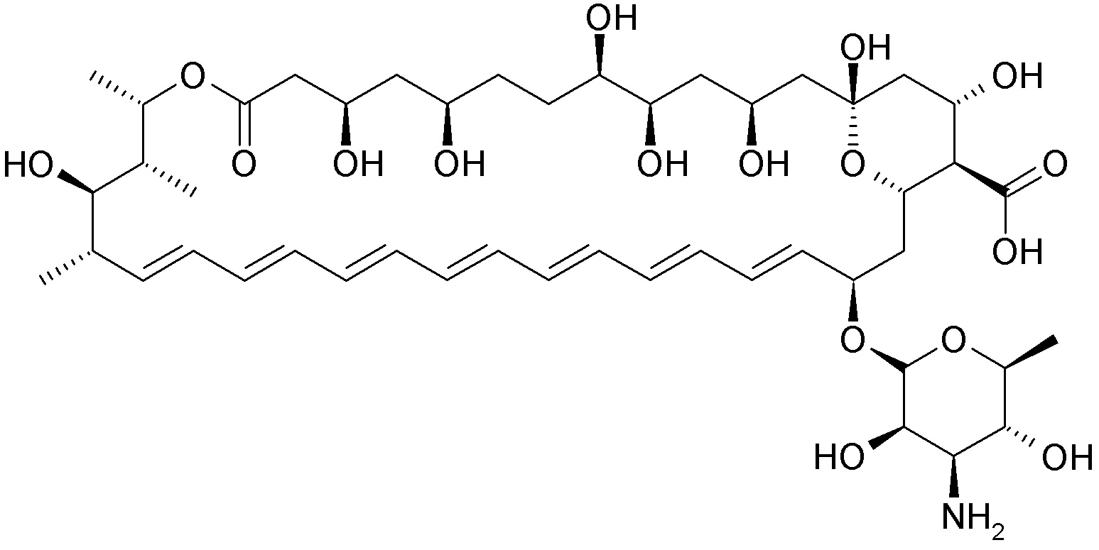
   Estructura química  

Gotas oculares
Estabilidad en mezcla   Gotas oculares   Estabilidad en mezcla : Amphotericin B     
Ausencia de datos

  Mentions Légales