最新更新 :
27/04/2026
抗真菌药   Amphotericin B  
眼药水
口服剂 气雾剂 注射液 漱口水
制剂的稳定性 混合物稳定性 影响稳定性的因素 兼容性 引用文献 PDF
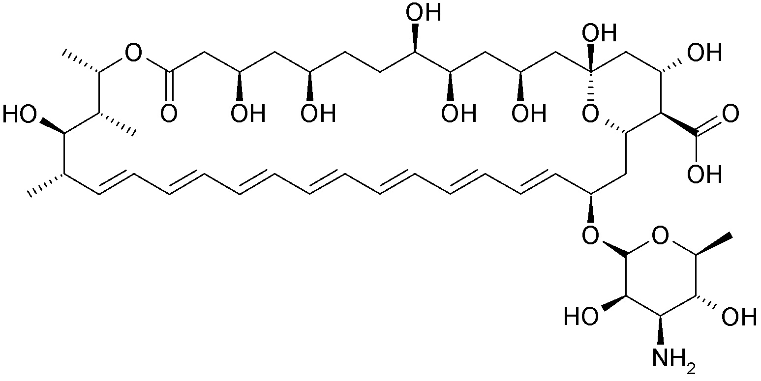
   化学式  

眼药水
混合物稳定性   眼药水   混合物稳定性 : Amphotericin B     
无数据

  Mentions Légales