Son güncelleme :
27/04/2026
Antifungal   Amphotericin B  
Göz damlası
Aerosol Enjeksiyon Gargara Oral solüsyon / oral çözelti
Farmasötik preparatlar Kararlılığı Karışımlardaki stabilitesi Stabiliteyi etkileyen faktörler Uyumluluk Kaynaklar pdf
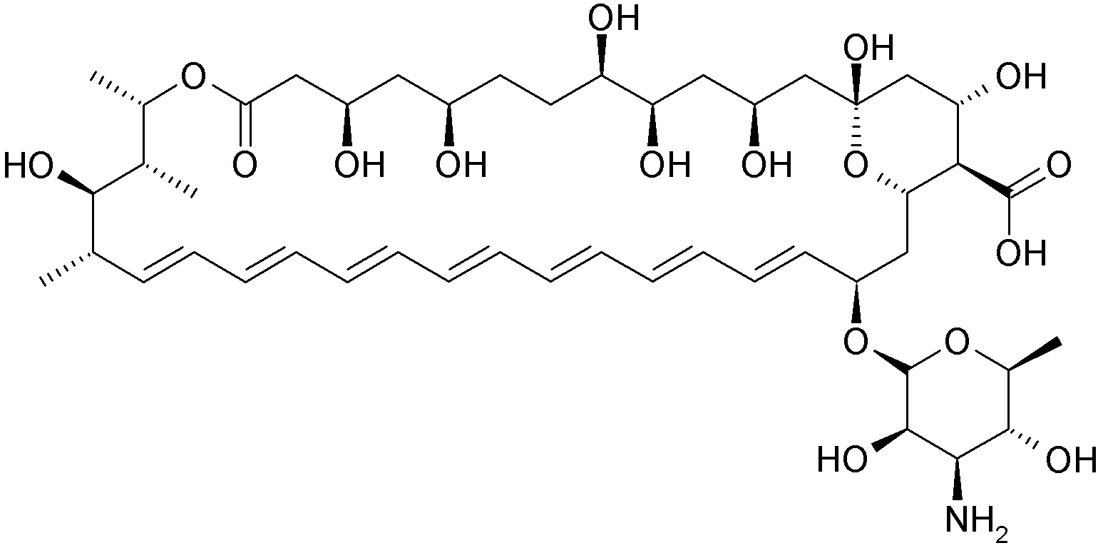
   Kimyasal yapı   

Göz damlası
Karışımlardaki stabilitesi   Göz damlası   Karışımlardaki stabilitesi : Amphotericin B     
veri yok

  Mentions Légales