Viimeisin päivitys :
27/04/2026
Sienilääkkeet   Amphotericin B  
Silmätipat
Aerosoli Injektioneste Oraaliliuos Suuvesi
Vakaus lääkevalmisteen Stabilius seoksissa Tekijät, jotka vaikuttavat stabiliuteen Yhteensopivuus Viitteet pdf
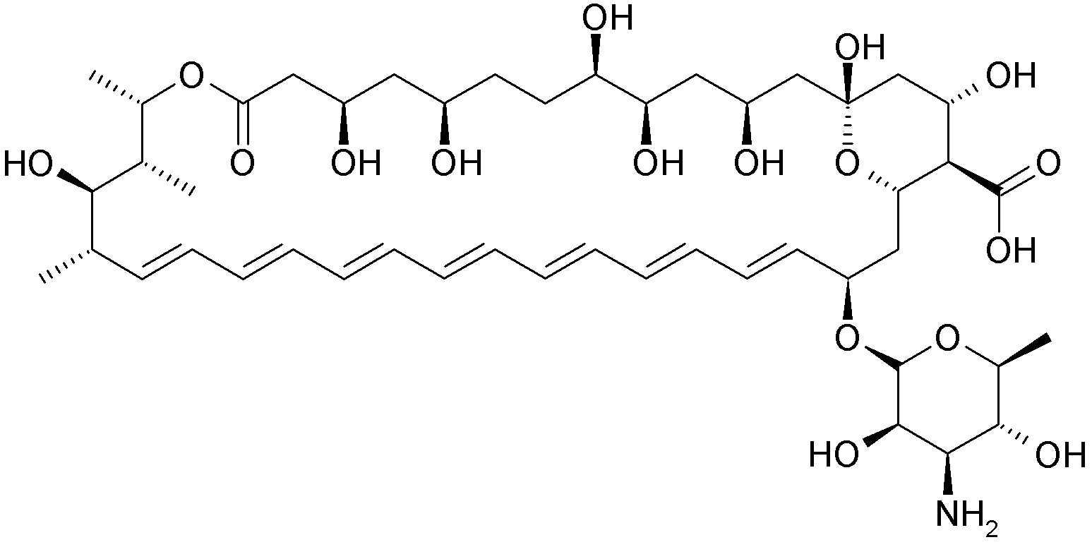
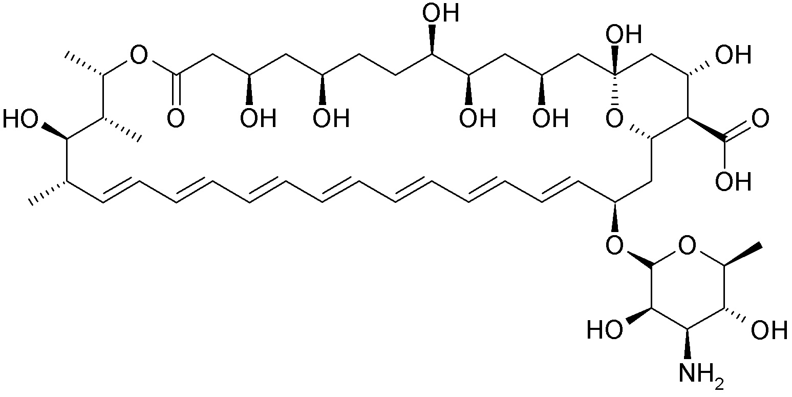
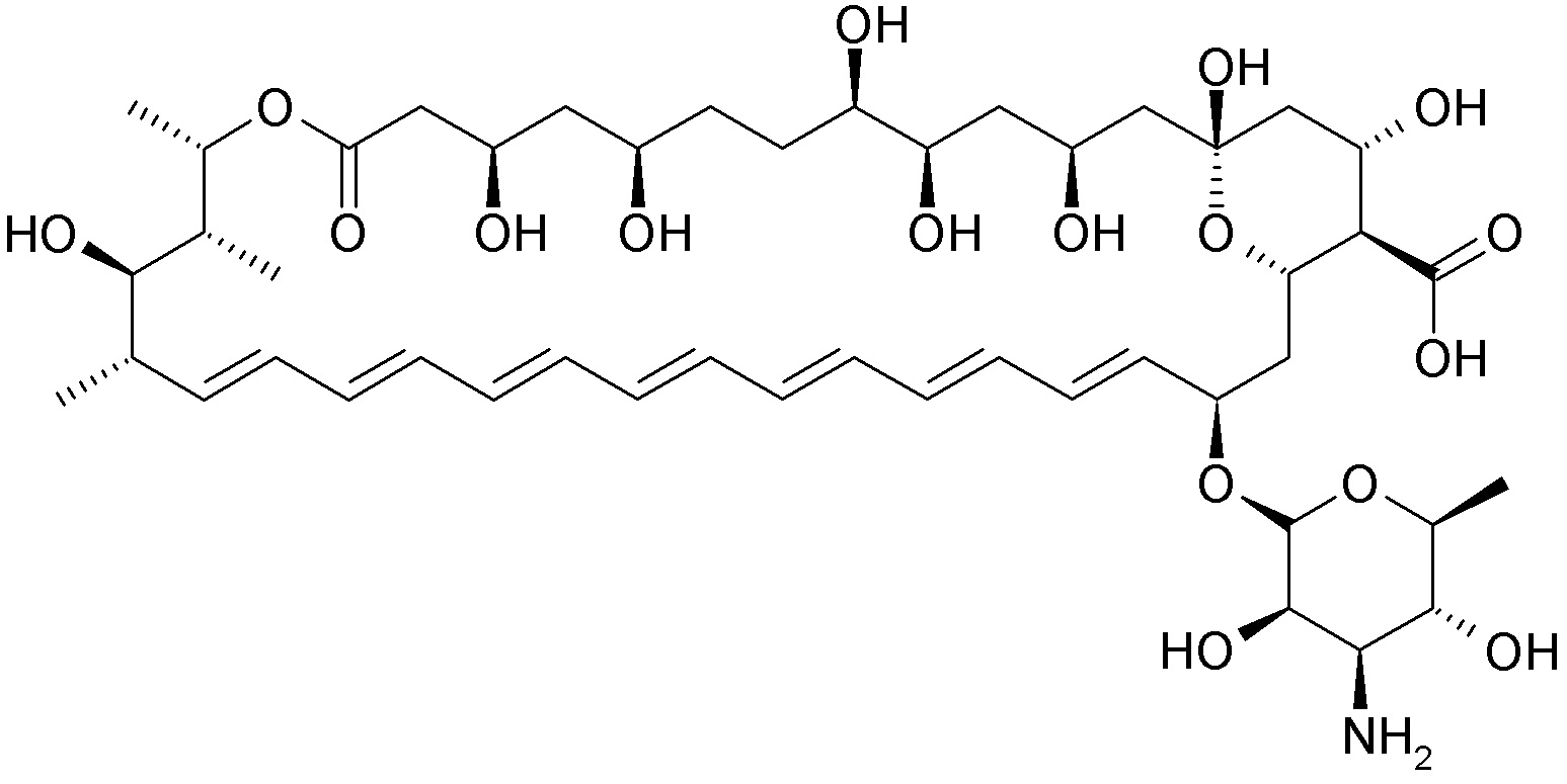
   Kemiallinen rakenne  

Silmätipat
Stabilius seoksissa   Silmätipat   Stabilius seoksissa : Amphotericin B     
ei tietoa

  Mentions Légales