Ultimele actualizari :
27/04/2026
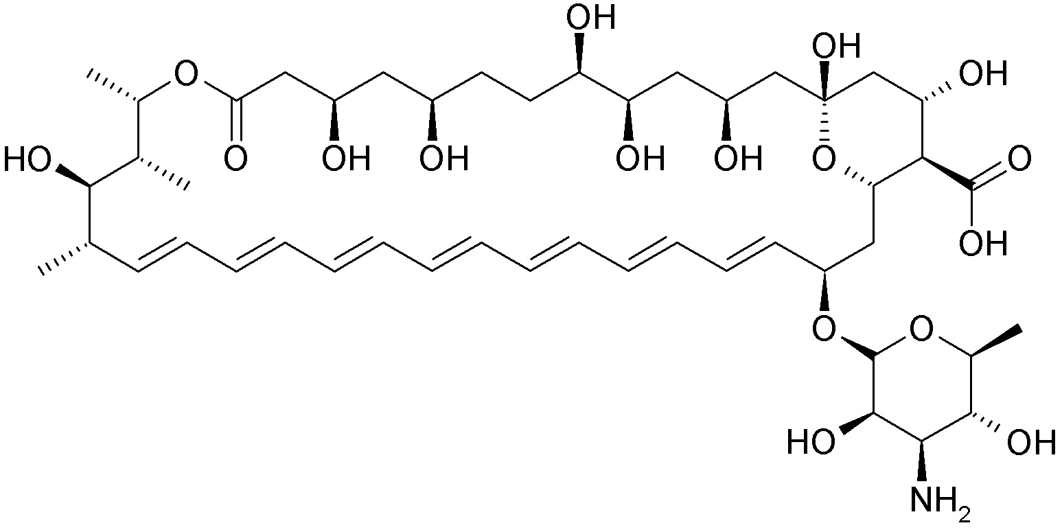
Antifungic   Amphotericin B  
colir
Aerosol Gargara Injectabil Soluţie orală
Stabilitatea preparatelor farmaceutice Stabilitatea in amestec Factorii care influenteaza stabilitatea Compatibilitate Bibliografie pdf
   Formula chimica  

colir
Stabilitatea in amestec   colir   Stabilitatea in amestec : Amphotericin B     
Absenta de date

  Mentions Légales