Ultimo aggiornamento :
27/04/2026
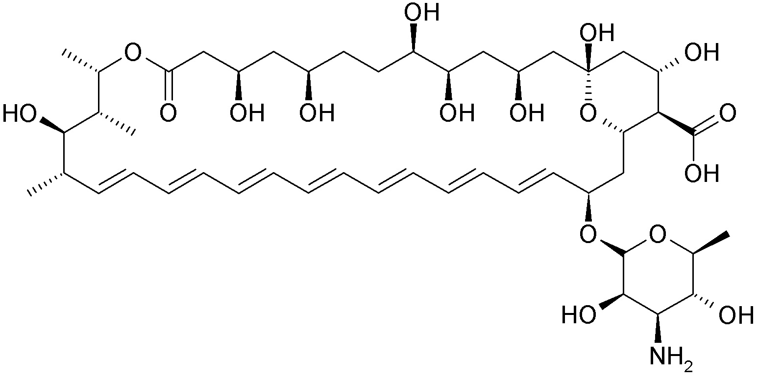
Antimicotico   Amphotericin B  
Collirio
Aerosol Collutorio Iniezione Soluzione orale
Stabilità dei preparati farmaceutici Stabilità in miscela Fattori che influenzano la stabilità Compatibilità Bibliografia pdf
   Struttura chimica  

Collirio
Stabilità in miscela   Collirio   Stabilità in miscela : Amphotericin B     
Assenza di dati

  Mentions Légales