Laatste update :
27/04/2026
Antimycoticum   Amphotericin B  
Oogwater
Aerosol gorgelen injecteerbaar geneesmiddel Orale Oplossing
Stabiliteit van farmaceutische preparaten Stabiliteit in mengsels Factoren die de stabiliteit beïnvloeden Verenigbaarheden Literatuur pdf
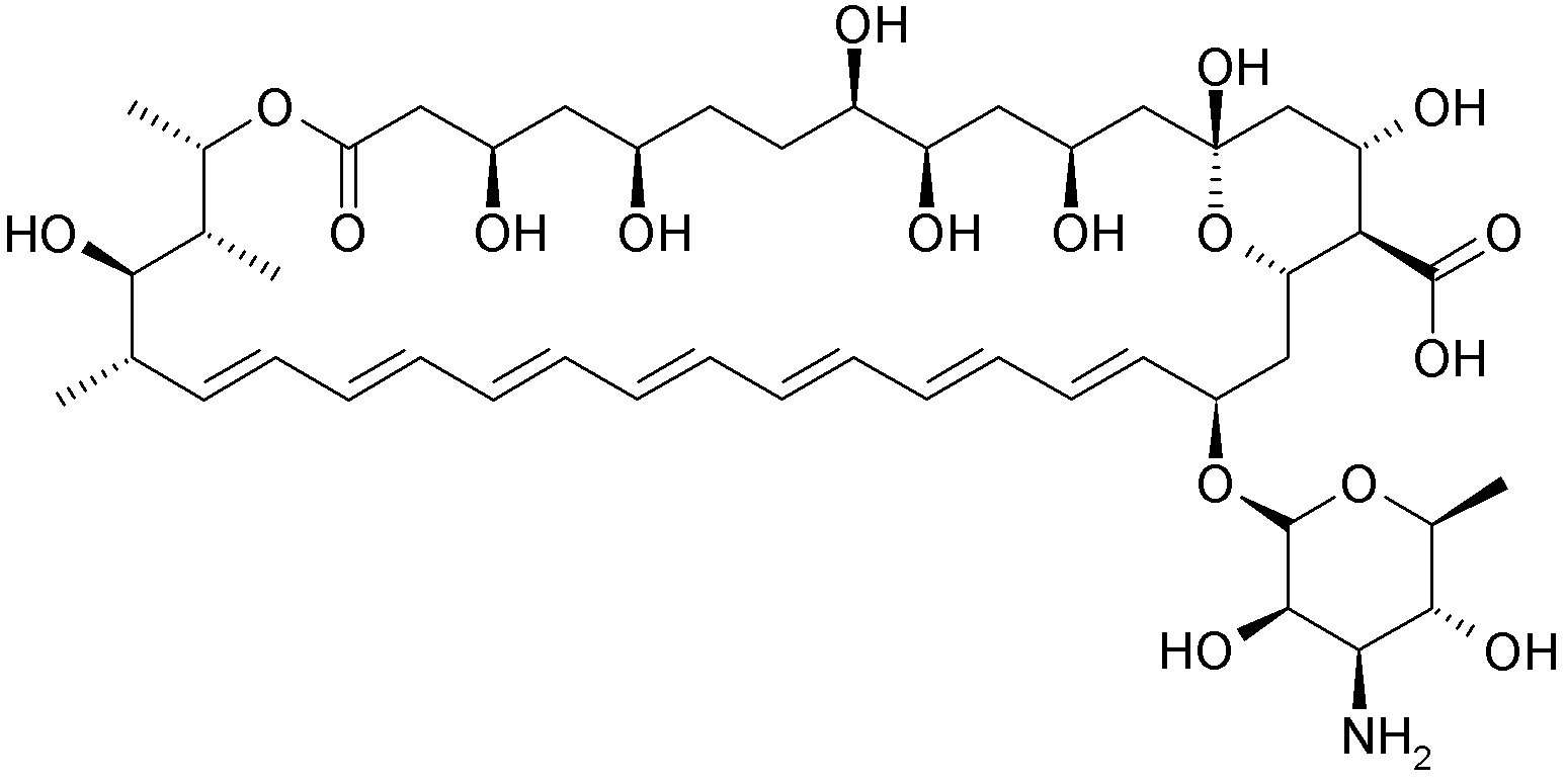
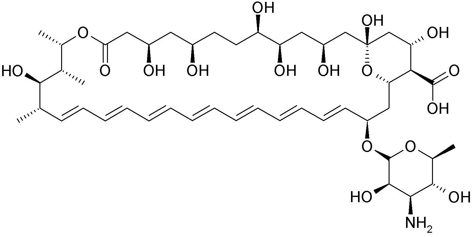
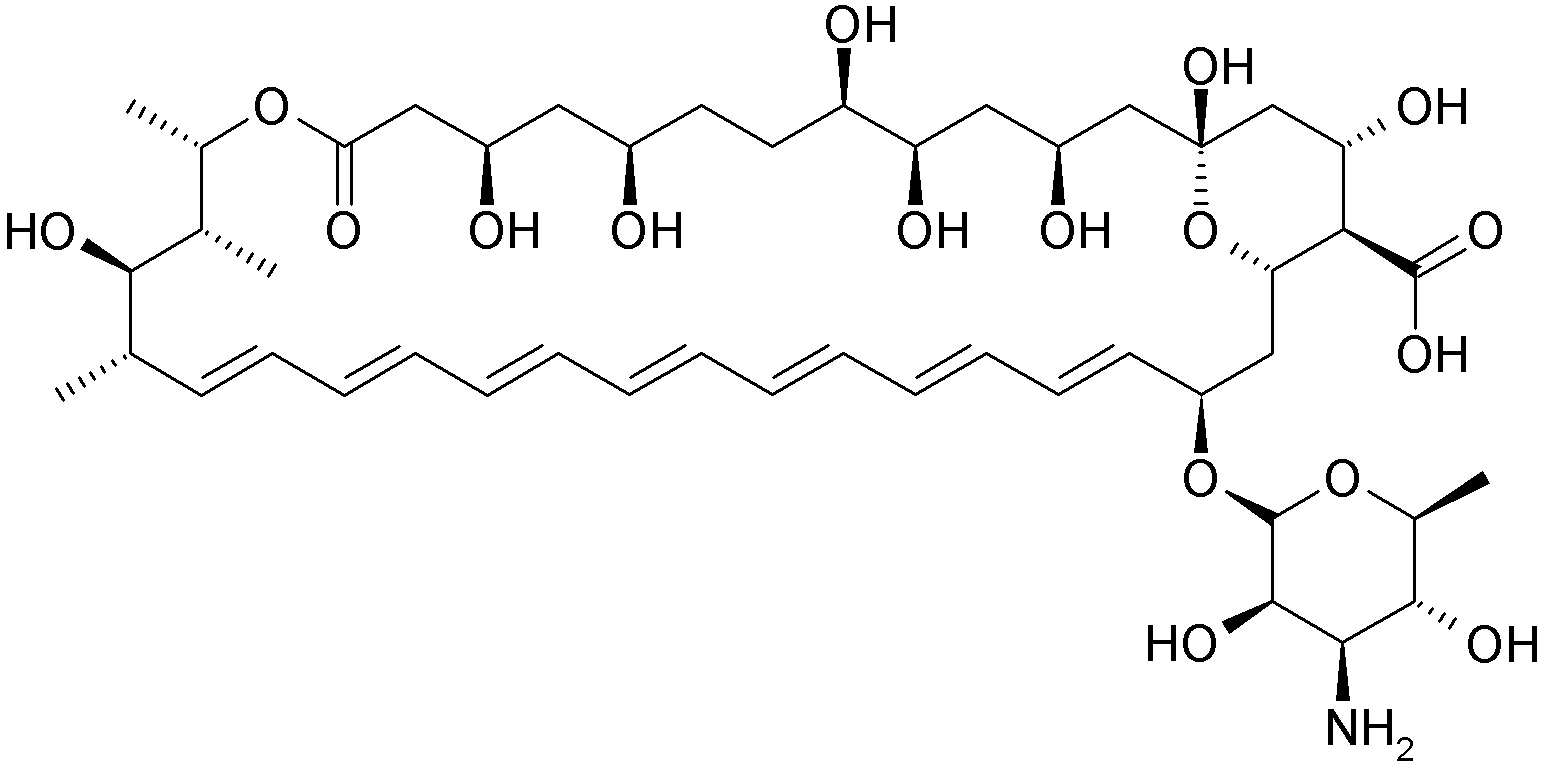
   Molecuulstructuur  

Oogwater
Stabiliteit in mengsels   Oogwater   Stabiliteit in mengsels : Amphotericin B     
geen gegevens

  Mentions Légales