Cập nhật lần cuối :
27/01/2026
thuốc trị ung thư   Azacitidine  
Dạng tiêm
Tính ổn định của các dung dịch Độ ổn định khi trộn lẫn Những yếu tố ảnh hưởng đến độ ổn định Khả năng tương thích Đường dùng Tài liệu tham khảo Pdf
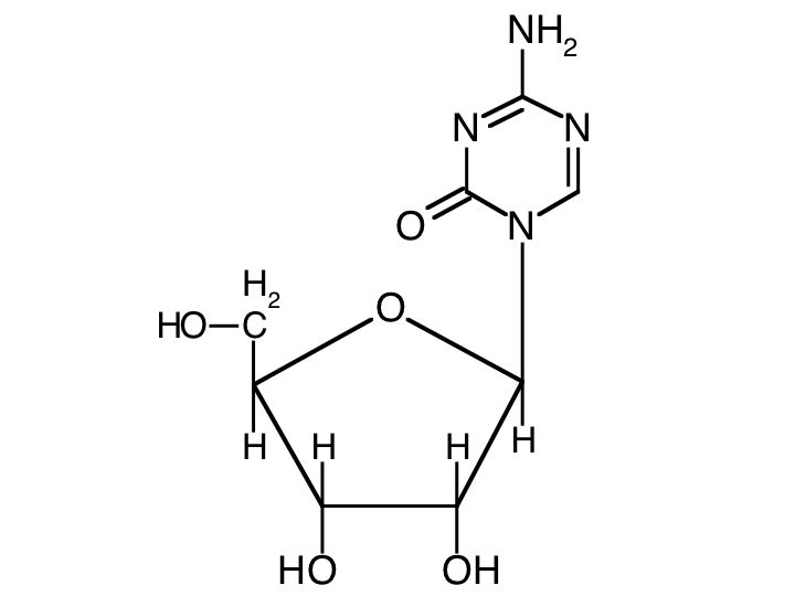
   Cấu trúc hóa học  

Tên thương mại   Tên thương mại     

Các tên thương mại được cung cấp và thành phần tá dược có thể khác nhau giữa các quốc gia và các hãng dược

Amilix Argentina
Arquimes Argentina
Azacimyl Chile
Azacitidina Argentina, Chile, Peru
Azacitidine Hoa Kỳ, Đức
Azacor Peru
Azadin Thổ Nhĩ Kỳ
Azamex Argentina
Azanova Argentina
Azateva Argentina
Azida Thổ Nhĩ Kỳ
Azitech Argentina
Citofin Argentina
Iclacitidina Peru
Iterbil Argentina
Maturus Argentina
Mietozitidina Argentina, Peru
Nimodac Argentina
Remitiva Chile
Tazadir Argentina
Vidaza Anh, Argentina, Bỉ, Brazil, Canada, Chile, Colombia, Croatia, Hoa Kỳ, Hungary, Iceland, Luxembourg, Malaysia, Mexico, Na Uy, new zealand, Nhật, Peru, Phần Lan, Pháp, Romania, Slovenia, Tây Ban Nha, Thổ Nhĩ Kỳ, Thụy Sỹ, Thụy Điển, Tunisia, Úc, Ý, Đức
Zacidonel Mexico
Zylatadina Argentina
Tính ổn định của các dung dịch   Dạng tiêm   Tính ổn định của các dung dịch : Azacitidine     
Bao bì Dung môi Nồng độ Nhiệt độ Bảo quản Thời gian ổn định Mục lục
Thủy tinh Nước cất pha tiêm 10 & 25 mg/ml 25°C Không rõ
2 Giờ
4227
Cấp độ bằng chứng B

Thủy tinh Nước cất pha tiêm 25 mg/ml 2-8°C Không rõ
8 Giờ
3236
Các dữ liệu về độ ổn định của nhà sản xuất

Thủy tinh Nước cất pha tiêm 25 mg/ml 25°C Không rõ
0.75 Giờ
3236
Các dữ liệu về độ ổn định của nhà sản xuất

Thủy tinh NaCl 0,9% 0.2 mg/ml 25°C Không rõ
1.9 Giờ
1039
Cấp độ bằng chứng D

Thủy tinh NaCl 0,9% 2 mg/ml 25°C Không rõ
2.4 Giờ
1039
Cấp độ bằng chứng D

Thủy tinh Dung dịch Ringer’s lactate 0.2 mg/ml 25°C Không rõ
1.9 Giờ
1039
Cấp độ bằng chứng D

Thủy tinh Dung dịch Ringer’s lactate 2 mg/ml 25°C Không rõ
2.8 Giờ
1039
Cấp độ bằng chứng D

Thủy tinh Nước cất pha tiêm (4°C) 10 & 25 mg/ml -20°C Không rõ
21 Ngày
4227
Cấp độ bằng chứng B

Thủy tinh Nước cất pha tiêm (4°C) 10 & 25 mg/ml 25°C Không rõ
4 Giờ
4227
Cấp độ bằng chứng B

Thủy tinh Nước cất pha tiêm (4°C) 10 & 25 mg/ml 4°C Không rõ
24 Giờ
4227
Cấp độ bằng chứng B

dữ liệu mâu thuẫn
Thủy tinh Nước cất pha tiêm (4°C) 25 mg/ml 2-8°C Tránh ánh sáng
22 Giờ
3236
Các dữ liệu về độ ổn định của nhà sản xuất

Nhựa polypropylen NaCl 0,9% 1.4 >> 2.4 mg/ml 4°C Không rõ
3 Giờ
3816
Cấp độ bằng chứng D

Nhựa polypropylen Nước cất pha tiêm (4°C) 10 & 25 mg/ml -20°C Không rõ
21 Ngày
4227
Cấp độ bằng chứng B

Nhựa polypropylen Nước cất pha tiêm (4°C) 10 & 25 mg/ml 4°C Không rõ
24 Giờ
4227
Cấp độ bằng chứng B

dữ liệu mâu thuẫn
ống tiêm polypropylene Dung dịch Ringer’s lactate 0.5 mg/ml -20°C Tránh ánh sáng
30 Ngày
414
Cấp độ bằng chứng D

ống tiêm polypropylene Dung dịch Ringer’s lactate 0.5 & 2 mg/ml 20°C Không rõ
2 Giờ
414
Cấp độ bằng chứng D

ống tiêm polypropylene Dung dịch Ringer’s lactate 2 mg/ml -20°C Tránh ánh sáng
18 Ngày
414
Cấp độ bằng chứng D

ống tiêm polypropylene Nước cất pha tiêm (4°C) 25 mg/ml -20°C Tránh ánh sáng
8 Ngày
3204
Cấp độ bằng chứng A

ống tiêm polypropylene Nước cất pha tiêm (4°C) 25 mg/ml -20°C Không rõ
23 Ngày
3351
Cấp độ bằng chứng B

ống tiêm polypropylene Nước cất pha tiêm (4°C) 25 mg/ml -20°C Tránh ánh sáng
30 Ngày
3818
Cấp độ bằng chứng A

ống tiêm polypropylene Nước cất pha tiêm (4°C) 25 mg/ml -20°C Tránh ánh sáng
28 Ngày
4697
Cấp độ bằng chứng C

ống tiêm polypropylene Nước cất pha tiêm (4°C) 25 mg/ml 2-8°C Tránh ánh sáng
48 Giờ
3534
Cấp độ bằng chứng A

dữ liệu mâu thuẫn
ống tiêm polypropylene Nước cất pha tiêm (4°C) 25 mg/ml 2-8°C Tránh ánh sáng
3 Ngày
3818
Cấp độ bằng chứng A

dữ liệu mâu thuẫn
ống tiêm polypropylene Nước cất pha tiêm (4°C) 25 mg/ml 2-8°C Tránh ánh sáng
48 Giờ
4628
Cấp độ bằng chứng A+

dữ liệu mâu thuẫn
ống tiêm polypropylene Nước cất pha tiêm (4°C) 25 mg/ml 2-8°C Tránh ánh sáng
4 Ngày
4697
Cấp độ bằng chứng C

dữ liệu mâu thuẫn
ống tiêm polypropylene Nước cất pha tiêm (4°C) 25 mg/ml 20-25°C Tránh ánh sáng
2 Giờ
4697
Cấp độ bằng chứng C

ống tiêm polypropylene Nước cất pha tiêm (4°C) 25 mg/ml 4°C Tránh ánh sáng
5 Ngày
3246
Cấp độ bằng chứng A+

dữ liệu mâu thuẫn

  Mentions Légales