最新更新 :
27/01/2026
細胞増殖抑制薬   Azacitidine  
注射薬
溶媒内の安定性 混合時の安定性 安定性に影響する因子 互換性 投与経路 引用文献 PDF
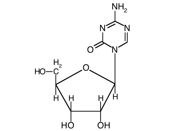
   化学構造  

商品名   商品名     

商品名、賦形剤は国、製薬会社ごとに異なることがあります

Amilix アルゼンチン
Arquimes アルゼンチン
Azacimyl チリ
Azacitidina アルゼンチン, チリ, ペルー
Azacitidine アメリカ, ドイツ
Azacor ペルー
Azadin トルコ
Azamex アルゼンチン
Azanova アルゼンチン
Azateva アルゼンチン
Azida トルコ
Azitech アルゼンチン
Citofin アルゼンチン
Iclacitidina ペルー
Iterbil アルゼンチン
Maturus アルゼンチン
Mietozitidina アルゼンチン, ペルー
Nimodac アルゼンチン
Remitiva チリ
Tazadir アルゼンチン
Vidaza アイスランド, アメリカ, アルゼンチン, アーストラリア, イギリス, イタリア, カナダ, クロアチア, コロンビア, スイス, スウェーデン, スペイン, スロベニア, チュニジア, チリ, トルコ, ドイツ, ニュージーランド, ノルウェー, ハンガリー, フィンランド, フランス, ブラジル, ベルギー, ペルー, マレーシア, メキシコ, ルクセンブルグ, ルーマニア, 日本
Zacidonel メキシコ
Zylatadina アルゼンチン
溶媒内の安定性   注射薬   溶媒内の安定性 : Azacitidine     
容器 溶媒 濃度 温度 保管 安定期間 引用文献
ガラス 注射用水 10 & 25 mg/ml 25°C 特記なし
2 時間
4227
エビデンスレベル B

ガラス 注射用水 25 mg/ml 2-8°C 特記なし
8 時間
3236
製薬会社の安定性データ

ガラス 注射用水 25 mg/ml 25°C 特記なし
0.75 時間
3236
製薬会社の安定性データ

ガラス NaCl 0,9% 0.2 mg/ml 25°C 特記なし
1.9 時間
1039
エビデンスレベル D

ガラス NaCl 0,9% 2 mg/ml 25°C 特記なし
2.4 時間
1039
エビデンスレベル D

ガラス 乳酸リンゲル 0.2 mg/ml 25°C 特記なし
1.9 時間
1039
エビデンスレベル D

ガラス 乳酸リンゲル 2 mg/ml 25°C 特記なし
2.8 時間
1039
エビデンスレベル D

ガラス 注射用水(4℃) 10 & 25 mg/ml -20°C 特記なし
21 日
4227
エビデンスレベル B

ガラス 注射用水(4℃) 10 & 25 mg/ml 25°C 特記なし
4 時間
4227
エビデンスレベル B

ガラス 注射用水(4℃) 10 & 25 mg/ml 4°C 特記なし
24 時間
4227
エビデンスレベル B

矛盾するデータ
ガラス 注射用水(4℃) 25 mg/ml 2-8°C 遮光
22 時間
3236
製薬会社の安定性データ

ポリプロピレン NaCl 0,9% 1.4 >> 2.4 mg/ml 4°C 特記なし
3 時間
3816
エビデンスレベル D

ポリプロピレン 注射用水(4℃) 10 & 25 mg/ml -20°C 特記なし
21 日
4227
エビデンスレベル B

ポリプロピレン 注射用水(4℃) 10 & 25 mg/ml 4°C 特記なし
24 時間
4227
エビデンスレベル B

矛盾するデータ
シリンジ ポリプロピレン 乳酸リンゲル 0.5 mg/ml -20°C 遮光
30 日
414
エビデンスレベル D

シリンジ ポリプロピレン 乳酸リンゲル 0.5 & 2 mg/ml 20°C 特記なし
2 時間
414
エビデンスレベル D

シリンジ ポリプロピレン 乳酸リンゲル 2 mg/ml -20°C 遮光
18 日
414
エビデンスレベル D

シリンジ ポリプロピレン 注射用水(4℃) 25 mg/ml -20°C 遮光
8 日
3204
エビデンスレベル A

シリンジ ポリプロピレン 注射用水(4℃) 25 mg/ml -20°C 特記なし
23 日
3351
エビデンスレベル B

シリンジ ポリプロピレン 注射用水(4℃) 25 mg/ml -20°C 遮光
30 日
3818
エビデンスレベル A

シリンジ ポリプロピレン 注射用水(4℃) 25 mg/ml -20°C 遮光
28 日
4697
エビデンスレベル C

シリンジ ポリプロピレン 注射用水(4℃) 25 mg/ml 2-8°C 遮光
48 時間
3534
エビデンスレベル A

矛盾するデータ
シリンジ ポリプロピレン 注射用水(4℃) 25 mg/ml 2-8°C 遮光
3 日
3818
エビデンスレベル A

矛盾するデータ
シリンジ ポリプロピレン 注射用水(4℃) 25 mg/ml 2-8°C 遮光
48 時間
4628
エビデンスレベル A+

矛盾するデータ
シリンジ ポリプロピレン 注射用水(4℃) 25 mg/ml 2-8°C 遮光
4 日
4697
エビデンスレベル C

矛盾するデータ
シリンジ ポリプロピレン 注射用水(4℃) 25 mg/ml 20-25°C 遮光
2 時間
4697
エビデンスレベル C

シリンジ ポリプロピレン 注射用水(4℃) 25 mg/ml 4°C 遮光
5 日
3246
エビデンスレベル A+

矛盾するデータ

  Mentions Légales