最新更新 :
27/01/2026
抗癌藥物   Azacitidine  
注射液
溶液稳定性 混合物稳定性 影响稳定性的因素 兼容性 用药途径 引用文献 PDF
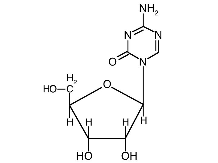
   化学式  

商品名   商品名     

商品名仅供参考, 药品所用的辅料可能依国家或厂商不同有所不同。

Amilix 阿根廷
Arquimes 阿根廷
Azacimyl 智利
Azacitidina 智利, 秘鲁, 阿根廷
Azacitidine 德国, 美国
Azacor 秘鲁
Azadin 土耳其
Azamex 阿根廷
Azanova 阿根廷
Azateva 阿根廷
Azida 土耳其
Azitech 阿根廷
Citofin 阿根廷
Iclacitidina 秘鲁
Iterbil 阿根廷
Maturus 阿根廷
Mietozitidina 秘鲁, 阿根廷
Nimodac 阿根廷
Remitiva 智利
Tazadir 阿根廷
Vidaza 克罗地亚, 冰岛, 加拿大, 匈牙利, 卢森堡, 哥伦比亚, 土耳其, 墨西哥, 巴西, 德国, 意大利, 挪威, 斯洛文尼亚, 新西蘭, 日本, 智利, 比利时, 法国, 澳大利亚, 瑞典, 瑞士, 秘鲁, 突尼斯, 罗马尼亚, 美国, 芬兰, 英国, 西班牙, 阿根廷, 马来西亚
Zacidonel 墨西哥
Zylatadina 阿根廷
溶液稳定性   注射液   溶液稳定性 : Azacitidine     
容器 溶剂 浓度 温度 保存 穩定持續時間 引用文献
玻璃 注射用水 10 & 25 mg/ml 25°C 无特殊要求
2 小时
4227
B级

玻璃 注射用水 25 mg/ml 2-8°C 无特殊要求
8 小时
3236
生产厂家提供的稳定性数据

玻璃 注射用水 25 mg/ml 25°C 无特殊要求
0.75 小时
3236
生产厂家提供的稳定性数据

玻璃 NaCl 0,9% 0.2 mg/ml 25°C 无特殊要求
1.9 小时
1039
D级

玻璃 NaCl 0,9% 2 mg/ml 25°C 无特殊要求
2.4 小时
1039
D级

玻璃 Ringer乳酸溶液 0.2 mg/ml 25°C 无特殊要求
1.9 小时
1039
D级

玻璃 Ringer乳酸溶液 2 mg/ml 25°C 无特殊要求
2.8 小时
1039
D级

玻璃 注射用水(4℃) 10 & 25 mg/ml -20°C 无特殊要求
21 白天
4227
B级

玻璃 注射用水(4℃) 10 & 25 mg/ml 25°C 无特殊要求
4 小时
4227
B级

玻璃 注射用水(4℃) 10 & 25 mg/ml 4°C 无特殊要求
24 小时
4227
B级

矛盾的數據
玻璃 注射用水(4℃) 25 mg/ml 2-8°C 避光
22 小时
3236
生产厂家提供的稳定性数据

聚丙烯 NaCl 0,9% 1.4 >> 2.4 mg/ml 4°C 无特殊要求
3 小时
3816
D级

聚丙烯 注射用水(4℃) 10 & 25 mg/ml -20°C 无特殊要求
21 白天
4227
B级

聚丙烯 注射用水(4℃) 10 & 25 mg/ml 4°C 无特殊要求
24 小时
4227
B级

矛盾的數據
注射器  聚丙烯 Ringer乳酸溶液 0.5 mg/ml -20°C 避光
30 白天
414
D级

注射器  聚丙烯 Ringer乳酸溶液 0.5 & 2 mg/ml 20°C 无特殊要求
2 小时
414
D级

注射器  聚丙烯 Ringer乳酸溶液 2 mg/ml -20°C 避光
18 白天
414
D级

注射器  聚丙烯 注射用水(4℃) 25 mg/ml -20°C 避光
8 白天
3204
A级

注射器  聚丙烯 注射用水(4℃) 25 mg/ml -20°C 无特殊要求
23 白天
3351
B级

注射器  聚丙烯 注射用水(4℃) 25 mg/ml -20°C 避光
30 白天
3818
A级

注射器  聚丙烯 注射用水(4℃) 25 mg/ml -20°C 避光
28 白天
4697
C级

注射器  聚丙烯 注射用水(4℃) 25 mg/ml 2-8°C 避光
48 小时
3534
A级

矛盾的數據
注射器  聚丙烯 注射用水(4℃) 25 mg/ml 2-8°C 避光
3 白天
3818
A级

矛盾的數據
注射器  聚丙烯 注射用水(4℃) 25 mg/ml 2-8°C 避光
48 小时
4628
A+级

矛盾的數據
注射器  聚丙烯 注射用水(4℃) 25 mg/ml 2-8°C 避光
4 白天
4697
C级

矛盾的數據
注射器  聚丙烯 注射用水(4℃) 25 mg/ml 20-25°C 避光
2 小时
4697
C级

注射器  聚丙烯 注射用水(4℃) 25 mg/ml 4°C 避光
5 白天
3246
A+级

矛盾的數據

  Mentions Légales