Dernière mise à jour :
27/01/2026
Anticancéreux   Azacitidine  
injectable
Stabilité des solutions Stabilité en mélange Facteur influençant la stabilité Compatibilités Voie d’administration Bibliographie pdf
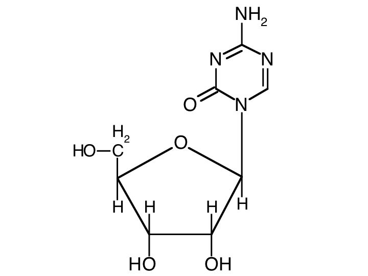
   Structure chimique  

Noms commerciaux   Noms commerciaux     

Les noms commerciaux sont donnés à titre indicatif et la composition en excipients peut être différente selon les pays et selon les laboratoires

Amilix Argentine
Arquimes Argentine
Azacimyl Chili
Azacitidina Argentine, Chili, Pérou
Azacitidine Allemagne, Etats Unis d’Amérique
Azacor Pérou
Azadin Turquie
Azamex Argentine
Azanova Argentine
Azateva Argentine
Azida Turquie
Azitech Argentine
Citofin Argentine
Iclacitidina Pérou
Iterbil Argentine
Maturus Argentine
Mietozitidina Argentine, Pérou
Nimodac Argentine
Remitiva Chili
Tazadir Argentine
Vidaza Allemagne, Argentine, Australie, Belgique, Brésil, Canada, Chili, Colombie, Croatie, Espagne, Etats Unis d’Amérique, Finlande, France, Grande Bretagne, Hongrie, Islande, Italie, Japon, Luxembourg, Malaisie, Mexique, Norvège, Nouvelle Zélande, Pérou, Roumanie, Slovénie, Suède, Suisse, Tunisie, Turquie
Zacidonel Mexique
Zylatadina Argentine
Stabilité des solutions   injectable   Stabilité des solutions : Azacitidine     
Contenant Solvant Concentration Température Conservation Durée de stabilité Bibliographie
Verre Eau pour préparation injectable 10 & 25 mg/ml 25°C Non précisée
2 Heure
4227
Niveau de preuve B

Verre Eau pour préparation injectable 25 mg/ml 2-8°C Non précisée
8 Heure
3236
Données de stabilité du fabricant

Verre Eau pour préparation injectable 25 mg/ml 25°C Non précisée
0.75 Heure
3236
Données de stabilité du fabricant

Verre Chlorure de sodium 0,9% 0.2 mg/ml 25°C Non précisée
1.9 Heure
1039
Niveau de preuve D

Verre Chlorure de sodium 0,9% 2 mg/ml 25°C Non précisée
2.4 Heure
1039
Niveau de preuve D

Verre Ringer lactate 0.2 mg/ml 25°C Non précisée
1.9 Heure
1039
Niveau de preuve D

Verre Ringer lactate 2 mg/ml 25°C Non précisée
2.8 Heure
1039
Niveau de preuve D

Verre Eau ppi réfrigérée (4°C) 10 & 25 mg/ml -20°C Non précisée
21 Jour
4227
Niveau de preuve B

Verre Eau ppi réfrigérée (4°C) 10 & 25 mg/ml 25°C Non précisée
4 Heure
4227
Niveau de preuve B

Verre Eau ppi réfrigérée (4°C) 10 & 25 mg/ml 4°C Non précisée
24 Heure
4227
Niveau de preuve B

Données conflictuelles
Verre Eau ppi réfrigérée (4°C) 25 mg/ml 2-8°C A l’abri de la lumière
22 Heure
3236
Données de stabilité du fabricant

Polypropylène Chlorure de sodium 0,9% 1.4 >> 2.4 mg/ml 4°C Non précisée
3 Heure
3816
Niveau de preuve D

Polypropylène Eau ppi réfrigérée (4°C) 10 & 25 mg/ml -20°C Non précisée
21 Jour
4227
Niveau de preuve B

Polypropylène Eau ppi réfrigérée (4°C) 10 & 25 mg/ml 4°C Non précisée
24 Heure
4227
Niveau de preuve B

Données conflictuelles
Seringue polypropylène Ringer lactate 0.5 mg/ml -20°C A l’abri de la lumière
30 Jour
414
Niveau de preuve D

Seringue polypropylène Ringer lactate 0.5 & 2 mg/ml 20°C Non précisée
2 Heure
414
Niveau de preuve D

Seringue polypropylène Ringer lactate 2 mg/ml -20°C A l’abri de la lumière
18 Jour
414
Niveau de preuve D

Seringue polypropylène Eau ppi réfrigérée (4°C) 25 mg/ml -20°C A l’abri de la lumière
8 Jour
3204
Niveau de preuve A

Seringue polypropylène Eau ppi réfrigérée (4°C) 25 mg/ml -20°C Non précisée
23 Jour
3351
Niveau de preuve B

Seringue polypropylène Eau ppi réfrigérée (4°C) 25 mg/ml -20°C A l’abri de la lumière
30 Jour
3818
Niveau de preuve A

Seringue polypropylène Eau ppi réfrigérée (4°C) 25 mg/ml -20°C A l’abri de la lumière
28 Jour
4697
Niveau de preuve C

Seringue polypropylène Eau ppi réfrigérée (4°C) 25 mg/ml 2-8°C A l’abri de la lumière
48 Heure
3534
Niveau de preuve A

Données conflictuelles
Seringue polypropylène Eau ppi réfrigérée (4°C) 25 mg/ml 2-8°C A l’abri de la lumière
3 Jour
3818
Niveau de preuve A

Données conflictuelles
Seringue polypropylène Eau ppi réfrigérée (4°C) 25 mg/ml 2-8°C A l’abri de la lumière
48 Heure
4628
Niveau de preuve A +

Données conflictuelles
Seringue polypropylène Eau ppi réfrigérée (4°C) 25 mg/ml 2-8°C A l’abri de la lumière
4 Jour
4697
Niveau de preuve C

Données conflictuelles
Seringue polypropylène Eau ppi réfrigérée (4°C) 25 mg/ml 20-25°C A l’abri de la lumière
2 Heure
4697
Niveau de preuve C

Seringue polypropylène Eau ppi réfrigérée (4°C) 25 mg/ml 4°C A l’abri de la lumière
5 Jour
3246
Niveau de preuve A +

Données conflictuelles

  Mentions Légales