Останнє оновлення :
27/01/2026
Протипухлинний препарат   Azacitidine  
ін'єкція
Стійкість в розчинах Стійкість сумішей Фактори, що впливають на стабільність Сумісність Шлях введення Список літератури pdf
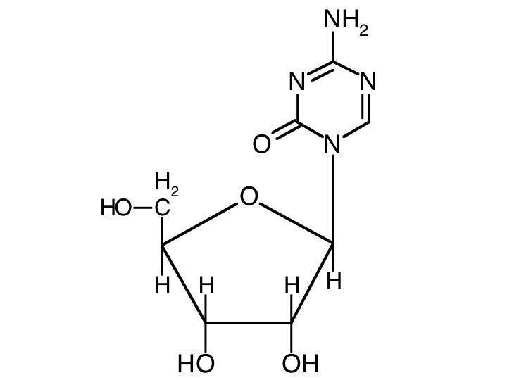
   Хімічна структура  

Торгова назва   Торгова назва     

Торгові назви є орієнтовними, а склад допоміжних речовин може бути різним залежно від країни та виробника

Amilix Аргентина
Arquimes Аргентина
Azacimyl Чилі
Azacitidina Аргентина, Перу, Чилі
Azacitidine Німеччина, Сполучені Штати Америки
Azacor Перу
Azadin Туреччина
Azamex Аргентина
Azanova Аргентина
Azateva Аргентина
Azida Туреччина
Azitech Аргентина
Citofin Аргентина
Iclacitidina Перу
Iterbil Аргентина
Maturus Аргентина
Mietozitidina Аргентина, Перу
Nimodac Аргентина
Remitiva Чилі
Tazadir Аргентина
Vidaza Ісландія, Іспанія, Італія, Австралія, Аргентина, Бельгія, Бразилія, Великобританія, Канада, Колумбія, Люксембург, Малайзія, Мексика, Німеччина, Нова Зеландія, Норвегія, Перу, Румунія, Словенія, Сполучені Штати Америки, Туніс, Туреччина, Угорщина, Фінляндія, Франція, Хорватія, Чилі, Швейцарія, Швеція, Японія
Zacidonel Мексика
Zylatadina Аргентина
Стійкість в розчинах   ін'єкція   Стійкість в розчинах : Azacitidine     
Контейнер Розчинник Концентрація температура Зберігання Тривалість стабільності Список літератури
скло Вода для ін'єкцій 10 & 25 mg/ml 25°C Не визначено
2 годину
4227
Рівень доказовості B

скло Вода для ін'єкцій 25 mg/ml 2-8°C Не визначено
8 годину
3236
Дані виробника про стабільність

скло Вода для ін'єкцій 25 mg/ml 25°C Не визначено
0.75 годину
3236
Дані виробника про стабільність

скло Натрію хлорид 0,9% 0.2 mg/ml 25°C Не визначено
1.9 годину
1039
Рівень доказовості D

скло Натрію хлорид 0,9% 2 mg/ml 25°C Не визначено
2.4 годину
1039
Рівень доказовості D

скло Розчин лактату Рінгера 0.2 mg/ml 25°C Не визначено
1.9 годину
1039
Рівень доказовості D

скло Розчин лактату Рінгера 2 mg/ml 25°C Не визначено
2.8 годину
1039
Рівень доказовості D

скло Вода для ін'єкцій (4°C) 10 & 25 mg/ml -20°C Не визначено
21 День
4227
Рівень доказовості B

скло Вода для ін'єкцій (4°C) 10 & 25 mg/ml 25°C Не визначено
4 годину
4227
Рівень доказовості B

скло Вода для ін'єкцій (4°C) 10 & 25 mg/ml 4°C Не визначено
24 годину
4227
Рівень доказовості B

суперечливі дані
скло Вода для ін'єкцій (4°C) 25 mg/ml 2-8°C Берегти від світла
22 годину
3236
Дані виробника про стабільність

Поліпропілен Натрію хлорид 0,9% 1.4 >> 2.4 mg/ml 4°C Не визначено
3 годину
3816
Рівень доказовості D

Поліпропілен Вода для ін'єкцій (4°C) 10 & 25 mg/ml -20°C Не визначено
21 День
4227
Рівень доказовості B

Поліпропілен Вода для ін'єкцій (4°C) 10 & 25 mg/ml 4°C Не визначено
24 годину
4227
Рівень доказовості B

суперечливі дані
Поліпропіленовий шприц Розчин лактату Рінгера 0.5 mg/ml -20°C Берегти від світла
30 День
414
Рівень доказовості D

Поліпропіленовий шприц Розчин лактату Рінгера 0.5 & 2 mg/ml 20°C Не визначено
2 годину
414
Рівень доказовості D

Поліпропіленовий шприц Розчин лактату Рінгера 2 mg/ml -20°C Берегти від світла
18 День
414
Рівень доказовості D

Поліпропіленовий шприц Вода для ін'єкцій (4°C) 25 mg/ml -20°C Берегти від світла
8 День
3204
Рівень доказовості А

Поліпропіленовий шприц Вода для ін'єкцій (4°C) 25 mg/ml -20°C Не визначено
23 День
3351
Рівень доказовості B

Поліпропіленовий шприц Вода для ін'єкцій (4°C) 25 mg/ml -20°C Берегти від світла
30 День
3818
Рівень доказовості А

Поліпропіленовий шприц Вода для ін'єкцій (4°C) 25 mg/ml -20°C Берегти від світла
28 День
4697
Рівень доказовості C

Поліпропіленовий шприц Вода для ін'єкцій (4°C) 25 mg/ml 2-8°C Берегти від світла
48 годину
3534
Рівень доказовості А

суперечливі дані
Поліпропіленовий шприц Вода для ін'єкцій (4°C) 25 mg/ml 2-8°C Берегти від світла
3 День
3818
Рівень доказовості А

суперечливі дані
Поліпропіленовий шприц Вода для ін'єкцій (4°C) 25 mg/ml 2-8°C Берегти від світла
48 годину
4628
Рівень доказовості А+

суперечливі дані
Поліпропіленовий шприц Вода для ін'єкцій (4°C) 25 mg/ml 2-8°C Берегти від світла
4 День
4697
Рівень доказовості C

суперечливі дані
Поліпропіленовий шприц Вода для ін'єкцій (4°C) 25 mg/ml 20-25°C Берегти від світла
2 годину
4697
Рівень доказовості C

Поліпропіленовий шприц Вода для ін'єкцій (4°C) 25 mg/ml 4°C Берегти від світла
5 День
3246
Рівень доказовості А+

суперечливі дані

  Mentions Légales