Laatste update :
27/01/2026
geneesmiddel tegen kanker   Azacitidine  
injecteerbaar geneesmiddel
Stabiliteit in oplossing Stabiliteit in mengsels Factoren die de stabiliteit beïnvloeden Verenigbaarheden Toedieningswijze Literatuur pdf
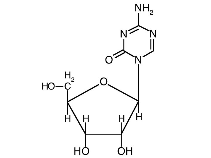
   Molecuulstructuur  

Merknamen in verschillende landen   Merknamen in verschillende landen     

Handelsnamen zijn slechts een indicatie; de samenstelling van hulpstoffen kan per land variëren afhankelijk van de fabrikant

Amilix Argentinië
Arquimes Argentinië
Azacimyl Chili
Azacitidina Argentinië, Chili, Peru
Azacitidine Duitsland, USA
Azacor Peru
Azadin Turkije
Azamex Argentinië
Azanova Argentinië
Azateva Argentinië
Azida Turkije
Azitech Argentinië
Citofin Argentinië
Iclacitidina Peru
Iterbil Argentinië
Maturus Argentinië
Mietozitidina Argentinië, Peru
Nimodac Argentinië
Remitiva Chili
Tazadir Argentinië
Vidaza Argentinië, Australië, België, Brazilië, Canada, Chili, Colombia, Duitsland, Finland, Frankrijk, Groot Britannië, Hongarije, IJsland, Italië, Japan, Kroatië, Luxemburg, Maleisië, Mexico, nieuw Zeeland, Noorwegen, Peru, Roemenië, Slovenië, Spanje, Tunisie, Turkije, USA, Zweden, Zwitserland
Zacidonel Mexico
Zylatadina Argentinië
Stabiliteit in oplossing   injecteerbaar geneesmiddel   Stabiliteit in oplossing : Azacitidine     
Verpakking Oplosmiddel Concentratie Temperatuur Bewaring Duur van de stabiliteit Literatuur
Glas Water voor injectie 10 & 25 mg/ml 25°C Niet gespecificeerd
2 Uur
4227
Bewijsniveau B

Glas Water voor injectie 25 mg/ml 2-8°C Niet gespecificeerd
8 Uur
3236
Stabiliteitsgegevens van de fabrikant

Glas Water voor injectie 25 mg/ml 25°C Niet gespecificeerd
0.75 Uur
3236
Stabiliteitsgegevens van de fabrikant

Glas Natriumchloride 0,9% 0.2 mg/ml 25°C Niet gespecificeerd
1.9 Uur
1039
Bewijsniveau D

Glas Natriumchloride 0,9% 2 mg/ml 25°C Niet gespecificeerd
2.4 Uur
1039
Bewijsniveau D

Glas Ringer-lactaat 0.2 mg/ml 25°C Niet gespecificeerd
1.9 Uur
1039
Bewijsniveau D

Glas Ringer-lactaat 2 mg/ml 25°C Niet gespecificeerd
2.8 Uur
1039
Bewijsniveau D

Glas Water voor injectie (4°C) 10 & 25 mg/ml -20°C Niet gespecificeerd
21 Dag
4227
Bewijsniveau B

Glas Water voor injectie (4°C) 10 & 25 mg/ml 25°C Niet gespecificeerd
4 Uur
4227
Bewijsniveau B

Glas Water voor injectie (4°C) 10 & 25 mg/ml 4°C Niet gespecificeerd
24 Uur
4227
Bewijsniveau B

tegenstrijdige gegevens
Glas Water voor injectie (4°C) 25 mg/ml 2-8°C Buiten invloed van licht
22 Uur
3236
Stabiliteitsgegevens van de fabrikant

Polypropyleen (PP) Natriumchloride 0,9% 1.4 >> 2.4 mg/ml 4°C Niet gespecificeerd
3 Uur
3816
Bewijsniveau D

Polypropyleen (PP) Water voor injectie (4°C) 10 & 25 mg/ml -20°C Niet gespecificeerd
21 Dag
4227
Bewijsniveau B

Polypropyleen (PP) Water voor injectie (4°C) 10 & 25 mg/ml 4°C Niet gespecificeerd
24 Uur
4227
Bewijsniveau B

tegenstrijdige gegevens
injectiespuit polypropyleen Ringer-lactaat 0.5 mg/ml -20°C Buiten invloed van licht
30 Dag
414
Bewijsniveau D

injectiespuit polypropyleen Ringer-lactaat 0.5 & 2 mg/ml 20°C Niet gespecificeerd
2 Uur
414
Bewijsniveau D

injectiespuit polypropyleen Ringer-lactaat 2 mg/ml -20°C Buiten invloed van licht
18 Dag
414
Bewijsniveau D

injectiespuit polypropyleen Water voor injectie (4°C) 25 mg/ml -20°C Buiten invloed van licht
8 Dag
3204
Bewijsniveau A

injectiespuit polypropyleen Water voor injectie (4°C) 25 mg/ml -20°C Niet gespecificeerd
23 Dag
3351
Bewijsniveau B

injectiespuit polypropyleen Water voor injectie (4°C) 25 mg/ml -20°C Buiten invloed van licht
30 Dag
3818
Bewijsniveau A

injectiespuit polypropyleen Water voor injectie (4°C) 25 mg/ml -20°C Buiten invloed van licht
28 Dag
4697
Bewijsniveau C

injectiespuit polypropyleen Water voor injectie (4°C) 25 mg/ml 2-8°C Buiten invloed van licht
48 Uur
3534
Bewijsniveau A

tegenstrijdige gegevens
injectiespuit polypropyleen Water voor injectie (4°C) 25 mg/ml 2-8°C Buiten invloed van licht
3 Dag
3818
Bewijsniveau A

tegenstrijdige gegevens
injectiespuit polypropyleen Water voor injectie (4°C) 25 mg/ml 2-8°C Buiten invloed van licht
48 Uur
4628
Bewijsniveau A+

tegenstrijdige gegevens
injectiespuit polypropyleen Water voor injectie (4°C) 25 mg/ml 2-8°C Buiten invloed van licht
4 Dag
4697
Bewijsniveau C

tegenstrijdige gegevens
injectiespuit polypropyleen Water voor injectie (4°C) 25 mg/ml 20-25°C Buiten invloed van licht
2 Uur
4697
Bewijsniveau C

injectiespuit polypropyleen Water voor injectie (4°C) 25 mg/ml 4°C Buiten invloed van licht
5 Dag
3246
Bewijsniveau A+

tegenstrijdige gegevens

  Mentions Légales