zadnja posodobitev :
27/01/2026
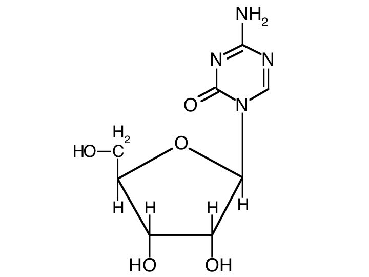
rak drog   Azacitidine  
Brizgalka
Stabilnost raztopine Stabilnost mešanice Faktorji, ki vplivajo na stabilnost Kompatibilnost način aplikacije Viri pdf
   Kemična formula  

Lastniško ime   Lastniško ime     

Sestava pomožnih snovi je med paralelami lahko različna

Amilix Argentina
Arquimes Argentina
Azacimyl Čile
Azacitidina Argentina, Čile, Peru
Azacitidine Nemčija, Združene države Amerike
Azacor Peru
Azadin Turčija
Azamex Argentina
Azanova Argentina
Azateva Argentina
Azida Turčija
Azitech Argentina
Citofin Argentina
Iclacitidina Peru
Iterbil Argentina
Maturus Argentina
Mietozitidina Argentina, Peru
Nimodac Argentina
Remitiva Čile
Tazadir Argentina
Vidaza Argentina, Avstralija, Belgija, Brazilija, Čile, Finska, Francija, Hrvaška, Islandija, Italija, Japonska, Kanada, Kolumbija, Luksemburg, Madžarska, Malezija, Mehika, Nemčija, Norveška, nova Zelandija, Peru, Romunija, Slovenija, Španija, Švedska, Švica, Tunizija, Turčija, Velika Britanija, Združene države Amerike
Zacidonel Mehika
Zylatadina Argentina
Stabilnost raztopine   Brizgalka   Stabilnost raztopine : Azacitidine     
Vsebnik Topilo Koncentracija Temperatura Shranjevanje Trajanje stabilnosti Viri
Steklo Voda za injekcije 10 & 25 mg/ml 25°C Nedoločeno
2 čas
4227
 Stopnja dokaza B

Steklo Voda za injekcije 25 mg/ml 2-8°C Nedoločeno
8 čas
3236
Podatki stabilnosti proizvajalca

Steklo Voda za injekcije 25 mg/ml 25°C Nedoločeno
0.75 čas
3236
Podatki stabilnosti proizvajalca

Steklo Natrijev klorid 0,9% 0.2 mg/ml 25°C Nedoločeno
1.9 čas
1039
 Stopnja dokaza D

Steklo Natrijev klorid 0,9% 2 mg/ml 25°C Nedoločeno
2.4 čas
1039
 Stopnja dokaza D

Steklo Ringerjev laktat 0.2 mg/ml 25°C Nedoločeno
1.9 čas
1039
 Stopnja dokaza D

Steklo Ringerjev laktat 2 mg/ml 25°C Nedoločeno
2.8 čas
1039
 Stopnja dokaza D

Steklo Voda za injekcije (4°C) 10 & 25 mg/ml -20°C Nedoločeno
21 Dan
4227
 Stopnja dokaza B

Steklo Voda za injekcije (4°C) 10 & 25 mg/ml 25°C Nedoločeno
4 čas
4227
 Stopnja dokaza B

Steklo Voda za injekcije (4°C) 10 & 25 mg/ml 4°C Nedoločeno
24 čas
4227
 Stopnja dokaza B

nasprotujoči podatki
Steklo Voda za injekcije (4°C) 25 mg/ml 2-8°C Zaščiteno pred svetlobo
22 čas
3236
Podatki stabilnosti proizvajalca

Polipropilen Natrijev klorid 0,9% 1.4 >> 2.4 mg/ml 4°C Nedoločeno
3 čas
3816
 Stopnja dokaza D

Polipropilen Voda za injekcije (4°C) 10 & 25 mg/ml -20°C Nedoločeno
21 Dan
4227
 Stopnja dokaza B

Polipropilen Voda za injekcije (4°C) 10 & 25 mg/ml 4°C Nedoločeno
24 čas
4227
 Stopnja dokaza B

nasprotujoči podatki
Brizgalka polipropilen Ringerjev laktat 0.5 mg/ml -20°C Zaščiteno pred svetlobo
30 Dan
414
 Stopnja dokaza D

Brizgalka polipropilen Ringerjev laktat 0.5 & 2 mg/ml 20°C Nedoločeno
2 čas
414
 Stopnja dokaza D

Brizgalka polipropilen Ringerjev laktat 2 mg/ml -20°C Zaščiteno pred svetlobo
18 Dan
414
 Stopnja dokaza D

Brizgalka polipropilen Voda za injekcije (4°C) 25 mg/ml -20°C Zaščiteno pred svetlobo
8 Dan
3204
 Stopnja dokaza A

Brizgalka polipropilen Voda za injekcije (4°C) 25 mg/ml -20°C Nedoločeno
23 Dan
3351
 Stopnja dokaza B

Brizgalka polipropilen Voda za injekcije (4°C) 25 mg/ml -20°C Zaščiteno pred svetlobo
30 Dan
3818
 Stopnja dokaza A

Brizgalka polipropilen Voda za injekcije (4°C) 25 mg/ml -20°C Zaščiteno pred svetlobo
28 Dan
4697
 Stopnja dokaza C

Brizgalka polipropilen Voda za injekcije (4°C) 25 mg/ml 2-8°C Zaščiteno pred svetlobo
48 čas
3534
 Stopnja dokaza A

nasprotujoči podatki
Brizgalka polipropilen Voda za injekcije (4°C) 25 mg/ml 2-8°C Zaščiteno pred svetlobo
3 Dan
3818
 Stopnja dokaza A

nasprotujoči podatki
Brizgalka polipropilen Voda za injekcije (4°C) 25 mg/ml 2-8°C Zaščiteno pred svetlobo
48 čas
4628
 Stopnja dokaza A+

nasprotujoči podatki
Brizgalka polipropilen Voda za injekcije (4°C) 25 mg/ml 2-8°C Zaščiteno pred svetlobo
4 Dan
4697
 Stopnja dokaza C

nasprotujoči podatki
Brizgalka polipropilen Voda za injekcije (4°C) 25 mg/ml 20-25°C Zaščiteno pred svetlobo
2 čas
4697
 Stopnja dokaza C

Brizgalka polipropilen Voda za injekcije (4°C) 25 mg/ml 4°C Zaščiteno pred svetlobo
5 Dan
3246
 Stopnja dokaza A+

nasprotujoči podatki

  Mentions Légales