Ostatnia aktualizacja :
27/01/2026
Lek cytostatyk   Azacitidine  
Injekcje
Trwałość roztworów Trwałość w mieszaninie Czynnik wpływający na trwałość Zgodność Sposób podania Bibliografia pdf
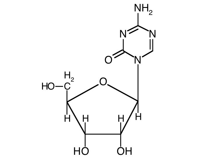
   Struktura chemiczna  

Nazwa handlowa   Nazwa handlowa     

Trade names are indicative and excipients composition can be different depending on the country and manufacturers

Amilix Argentyna
Arquimes Argentyna
Azacimyl Chile
Azacitidina Argentyna, Chile, Peru
Azacitidine Niemcy, Stany Zjednoczone Ameryki
Azacor Peru
Azadin Turcja
Azamex Argentyna
Azanova Argentyna
Azateva Argentyna
Azida Turcja
Azitech Argentyna
Citofin Argentyna
Iclacitidina Peru
Iterbil Argentyna
Maturus Argentyna
Mietozitidina Argentyna, Peru
Nimodac Argentyna
Remitiva Chile
Tazadir Argentyna
Vidaza Argentyna, Australia, Belgia, Brazylia, Chile, Chorwacja, Finlandia, Francja , Hiszpania, Islandia, Japonia, Kanada, KolumbiaKolumbia, Luksemburg, Malezja, Meksyk, Niemcy, Norwegia, nowa Zelandia, Peru, Rumunia, Stany Zjednoczone Ameryki, Szwajcaria, Szwecja, Słowenia, Tunisie, Turcja, Węgry, Wielka Brytania, Włochy
Zacidonel Meksyk
Zylatadina Argentyna
Trwałość roztworów   Injekcje   Trwałość roztworów : Azacitidine     
Pojemnik Rozpuszczalnik Stężenie Temperatura Przechowywanie Czas trwania stabilności Bibliografia
Szkło Woda do wstrzyknięć 10 & 25 mg/ml 25°C Nie wyszczególniony
2 Godzina
4227
Poziom wiarygodności B

Szkło Woda do wstrzyknięć 25 mg/ml 2-8°C Nie wyszczególniony
8 Godzina
3236
Dane stabilności producenta

Szkło Woda do wstrzyknięć 25 mg/ml 25°C Nie wyszczególniony
0.75 Godzina
3236
Dane stabilności producenta

Szkło Chlorek sodu 0,9% 0.2 mg/ml 25°C Nie wyszczególniony
1.9 Godzina
1039
Poziom wiarygodności D

Szkło Chlorek sodu 0,9% 2 mg/ml 25°C Nie wyszczególniony
2.4 Godzina
1039
Poziom wiarygodności D

Szkło Roztwór Ringera z mleczanem sodowym 0.2 mg/ml 25°C Nie wyszczególniony
1.9 Godzina
1039
Poziom wiarygodności D

Szkło Roztwór Ringera z mleczanem sodowym 2 mg/ml 25°C Nie wyszczególniony
2.8 Godzina
1039
Poziom wiarygodności D

Szkło Woda do wstrzyknięć (4°C) 10 & 25 mg/ml -20°C Nie wyszczególniony
21 Dzień
4227
Poziom wiarygodności B

Szkło Woda do wstrzyknięć (4°C) 10 & 25 mg/ml 25°C Nie wyszczególniony
4 Godzina
4227
Poziom wiarygodności B

Szkło Woda do wstrzyknięć (4°C) 10 & 25 mg/ml 4°C Nie wyszczególniony
24 Godzina
4227
Poziom wiarygodności B

sprzeczne dane
Szkło Woda do wstrzyknięć (4°C) 25 mg/ml 2-8°C Chronić od światła
22 Godzina
3236
Dane stabilności producenta

Polipropylen Chlorek sodu 0,9% 1.4 >> 2.4 mg/ml 4°C Nie wyszczególniony
3 Godzina
3816
Poziom wiarygodności D

Polipropylen Woda do wstrzyknięć (4°C) 10 & 25 mg/ml -20°C Nie wyszczególniony
21 Dzień
4227
Poziom wiarygodności B

Polipropylen Woda do wstrzyknięć (4°C) 10 & 25 mg/ml 4°C Nie wyszczególniony
24 Godzina
4227
Poziom wiarygodności B

sprzeczne dane
Strzykawka Roztwór Ringera z mleczanem sodowym 0.5 mg/ml -20°C Chronić od światła
30 Dzień
414
Poziom wiarygodności D

Strzykawka Roztwór Ringera z mleczanem sodowym 0.5 & 2 mg/ml 20°C Nie wyszczególniony
2 Godzina
414
Poziom wiarygodności D

Strzykawka Roztwór Ringera z mleczanem sodowym 2 mg/ml -20°C Chronić od światła
18 Dzień
414
Poziom wiarygodności D

Strzykawka Woda do wstrzyknięć (4°C) 25 mg/ml -20°C Chronić od światła
8 Dzień
3204
Poziom wiarygodności A

Strzykawka Woda do wstrzyknięć (4°C) 25 mg/ml -20°C Nie wyszczególniony
23 Dzień
3351
Poziom wiarygodności B

Strzykawka Woda do wstrzyknięć (4°C) 25 mg/ml -20°C Chronić od światła
30 Dzień
3818
Poziom wiarygodności A

Strzykawka Woda do wstrzyknięć (4°C) 25 mg/ml -20°C Chronić od światła
28 Dzień
4697
Poziom wiarygodności C

Strzykawka Woda do wstrzyknięć (4°C) 25 mg/ml 2-8°C Chronić od światła
48 Godzina
3534
Poziom wiarygodności A

sprzeczne dane
Strzykawka Woda do wstrzyknięć (4°C) 25 mg/ml 2-8°C Chronić od światła
3 Dzień
3818
Poziom wiarygodności A

sprzeczne dane
Strzykawka Woda do wstrzyknięć (4°C) 25 mg/ml 2-8°C Chronić od światła
48 Godzina
4628
Poziom wiarygodności A+

sprzeczne dane
Strzykawka Woda do wstrzyknięć (4°C) 25 mg/ml 2-8°C Chronić od światła
4 Dzień
4697
Poziom wiarygodności C

sprzeczne dane
Strzykawka Woda do wstrzyknięć (4°C) 25 mg/ml 20-25°C Chronić od światła
2 Godzina
4697
Poziom wiarygodności C

Strzykawka Woda do wstrzyknięć (4°C) 25 mg/ml 4°C Chronić od światła
5 Dzień
3246
Poziom wiarygodności A+

sprzeczne dane

  Mentions Légales