Zadnji put ažurirano :
27/01/2026
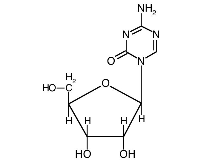
lijek protiv karcinoma   Azacitidine  
injekcija
Stabilizacija rješenja Stabilnost mješavine Stabilizacijski faktor Kompatibilnosti način davanja lijeka Bibliografija pdf
   Kemijska struktura  

Nekomercijalni   Nekomercijalni     

Zaštićeni nazivi su indikativni i sastav ekscipijensa može biti različit ovisno o državi i laboratorijima

Amilix Argentina
Arquimes Argentina
Azacimyl Čile
Azacitidina Argentina, Čile, Peru
Azacitidine Njemačka, S A D
Azacor Peru
Azadin Turska
Azamex Argentina
Azanova Argentina
Azateva Argentina
Azida Turska
Azitech Argentina
Citofin Argentina
Iclacitidina Peru
Iterbil Argentina
Maturus Argentina
Mietozitidina Argentina, Peru
Nimodac Argentina
Remitiva Čile
Tazadir Argentina
Vidaza Argentina, Australija, Belgija, Brazil, Čile, Finska, Francuska, Hrvatska, Island, Italija, Japan, Kanada, Kolumbija, Luksemburg, Madžarska, Malezija, Meksiko, Njemačka, Norveška, novi Zeland, Peru, Rumunjska, S A D, Slovenija, Španjolska, Švedska, Švicarska, Tunis, Turska, Velika Britanija
Zacidonel Meksiko
Zylatadina Argentina
Stabilizacija rješenja   injekcija   Stabilizacija rješenja : Azacitidine     
Kontejner sredstvo za rastapanje koncentracija temperatura Konzerviranje Trajanje stabilnosti Bibliografija
čaša čista voda za injektiranje 10 & 25 mg/ml 25°C nespecifičan
2 sat
4227
Razina dokaza B

čaša čista voda za injektiranje 25 mg/ml 2-8°C nespecifičan
8 sat
3236
Podaci proizvođača o stabilnosti

čaša čista voda za injektiranje 25 mg/ml 25°C nespecifičan
0.75 sat
3236
Podaci proizvođača o stabilnosti

čaša natrijumkorid 0,9% 0.2 mg/ml 25°C nespecifičan
1.9 sat
1039
Razina dokaza D

čaša natrijumkorid 0,9% 2 mg/ml 25°C nespecifičan
2.4 sat
1039
Razina dokaza D

čaša Ringer laktat 0.2 mg/ml 25°C nespecifičan
1.9 sat
1039
Razina dokaza D

čaša Ringer laktat 2 mg/ml 25°C nespecifičan
2.8 sat
1039
Razina dokaza D

čaša čista voda za injektiranje (4°C) 10 & 25 mg/ml -20°C nespecifičan
21 dan
4227
Razina dokaza B

čaša čista voda za injektiranje (4°C) 10 & 25 mg/ml 25°C nespecifičan
4 sat
4227
Razina dokaza B

čaša čista voda za injektiranje (4°C) 10 & 25 mg/ml 4°C nespecifičan
24 sat
4227
Razina dokaza B

proturječni podaci
čaša čista voda za injektiranje (4°C) 25 mg/ml 2-8°C Zaštićeno od svjetlosti
22 sat
3236
Podaci proizvođača o stabilnosti

polipropilen natrijumkorid 0,9% 1.4 >> 2.4 mg/ml 4°C nespecifičan
3 sat
3816
Razina dokaza D

polipropilen čista voda za injektiranje (4°C) 10 & 25 mg/ml -20°C nespecifičan
21 dan
4227
Razina dokaza B

polipropilen čista voda za injektiranje (4°C) 10 & 25 mg/ml 4°C nespecifičan
24 sat
4227
Razina dokaza B

proturječni podaci
špric polipropilen Ringer laktat 0.5 mg/ml -20°C Zaštićeno od svjetlosti
30 dan
414
Razina dokaza D

špric polipropilen Ringer laktat 0.5 & 2 mg/ml 20°C nespecifičan
2 sat
414
Razina dokaza D

špric polipropilen Ringer laktat 2 mg/ml -20°C Zaštićeno od svjetlosti
18 dan
414
Razina dokaza D

špric polipropilen čista voda za injektiranje (4°C) 25 mg/ml -20°C Zaštićeno od svjetlosti
8 dan
3204
Razina dokaza A

špric polipropilen čista voda za injektiranje (4°C) 25 mg/ml -20°C nespecifičan
23 dan
3351
Razina dokaza B

špric polipropilen čista voda za injektiranje (4°C) 25 mg/ml -20°C Zaštićeno od svjetlosti
30 dan
3818
Razina dokaza A

špric polipropilen čista voda za injektiranje (4°C) 25 mg/ml -20°C Zaštićeno od svjetlosti
28 dan
4697
Razina dokaza C

špric polipropilen čista voda za injektiranje (4°C) 25 mg/ml 2-8°C Zaštićeno od svjetlosti
48 sat
3534
Razina dokaza A

proturječni podaci
špric polipropilen čista voda za injektiranje (4°C) 25 mg/ml 2-8°C Zaštićeno od svjetlosti
3 dan
3818
Razina dokaza A

proturječni podaci
špric polipropilen čista voda za injektiranje (4°C) 25 mg/ml 2-8°C Zaštićeno od svjetlosti
48 sat
4628
Razina dokaza A+

proturječni podaci
špric polipropilen čista voda za injektiranje (4°C) 25 mg/ml 2-8°C Zaštićeno od svjetlosti
4 dan
4697
Razina dokaza C

proturječni podaci
špric polipropilen čista voda za injektiranje (4°C) 25 mg/ml 20-25°C Zaštićeno od svjetlosti
2 sat
4697
Razina dokaza C

špric polipropilen čista voda za injektiranje (4°C) 25 mg/ml 4°C Zaštićeno od svjetlosti
5 dan
3246
Razina dokaza A+

proturječni podaci

  Mentions Légales