Ultimo aggiornamento :
27/01/2026
farmaco contro il cancro   Azacitidine  
Iniezione
Stabilità in soluzione Stabilità in miscela Fattori che influenzano la stabilità Compatibilità metodo di iniezione Bibliografia pdf
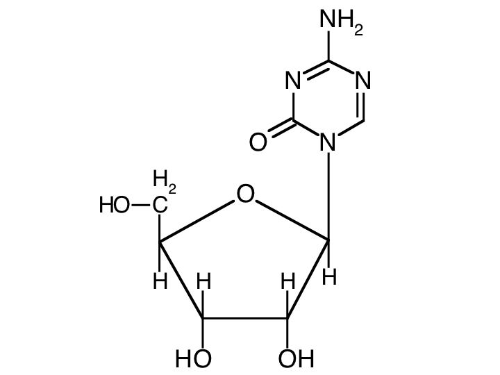
   Struttura chimica  

Nome commerciale   Nome commerciale     

Trade names are indicative and excipients composition can be different depending on the country and manufacturers

Amilix Argentina
Arquimes Argentina
Azacimyl Chile
Azacitidina Argentina, Chile, Perù
Azacitidine Germania, Stati Uniti d’America
Azacor Perù
Azadin Turchia
Azamex Argentina
Azanova Argentina
Azateva Argentina
Azida Turchia
Azitech Argentina
Citofin Argentina
Iclacitidina Perù
Iterbil Argentina
Maturus Argentina
Mietozitidina Argentina, Perù
Nimodac Argentina
Remitiva Chile
Tazadir Argentina
Vidaza Argentina, Australia, Belgio, Brasile, Canada, Chile, Colombia, Croazia, Finlandia, Francia, Germania, Giappone, Gran Bretagna, Islanda, Italia, Lussemburgo, Malaysia, Messico, Norvegia, nuova Zelanda, Perù, Romania, Slovenia, Spagna, Stati Uniti d’America, Svezia, Svizzera, Tunisia, Turchia, Ungheria
Zacidonel Messico
Zylatadina Argentina
metodo di iniezione   metodo di iniezione :Azacitidine     
Voie
Flebo endovenosa
Sottocutanea

  Mentions Légales