Siste oppdatering :
05/12/2025
kreft narkotika   Azacitidine  
Injeksjon
Oppløsningsstabilitet Stabilitet i blandinger Faktorer som påvirker stabiliteten Kompatibilitet Administrasjonsmåte Referanser pdf
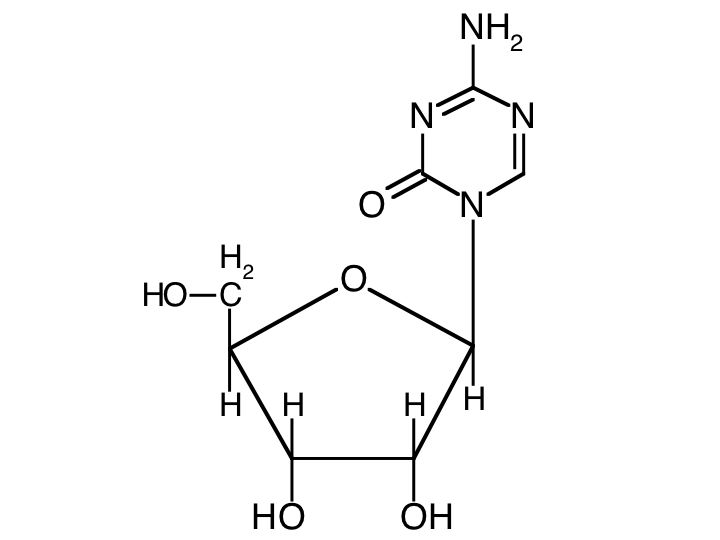
   Kjemisk struktur  

Handelsnavn   Handelsnavn     

Handelsnavn er veiledende og sammensetning av hjelpestoffer kan være forskjellig avhengig av land og produsent

Amilix Argentina
Arquimes Argentina
Azacimyl Chile
Azacitidina Argentina, Chile, Peru
Azacitidine Tyskland, USA
Azacor Peru
Azadin Tyrkia
Azamex Argentina
Azanova Argentina
Azateva Argentina
Azida Tyrkia
Azitech Argentina
Citofin Argentina
Iclacitidina Peru
Iterbil Argentina
Maturus Argentina
Mietozitidina Argentina, Peru
Nimodac Argentina
Remitiva Chile
Tazadir Argentina
Vidaza Argentina, Australia, Belgia, Brasil, Canada, Chile, Colombia, Finland, Frankrike, Island, Italia, Japan, Kroatia, Luxembourg, Malaysia, Mexico, New Zealand, Norge, Peru, Romania, Slovenia, Spania, Storbritannia, Sveits, Sverige, Tunisia, Tyrkia, Tyskland, Ungarn, USA
Zacidonel Mexico
Zylatadina Argentina
Oppløsningsstabilitet   Injeksjon   Oppløsningsstabilitet : Azacitidine     
Beholder Oppløsningsmiddel Konsentrasjon Temperatur Oppbevaring Varighet av stabilitet Referanser
Glass Vann til injeksjon 10 & 25 mg/ml 25°C Ikke angitt
2 Tid
4227
Bevisgrad B

Glass Vann til injeksjon 25 mg/ml 2-8°C Ikke angitt
8 Tid
3236
Stabilitetsopplysninger fra produsent

Glass Vann til injeksjon 25 mg/ml 25°C Ikke angitt
0.75 Tid
3236
Stabilitetsopplysninger fra produsent

Glass Natriumklorid 0,9 % 0.2 mg/ml 25°C Ikke angitt
1.9 Tid
1039
Bevisgrad D

Glass Natriumklorid 0,9 % 2 mg/ml 25°C Ikke angitt
2.4 Tid
1039
Bevisgrad D

Glass Ringers laktatoppløsning 0.2 mg/ml 25°C Ikke angitt
1.9 Tid
1039
Bevisgrad D

Glass Ringers laktatoppløsning 2 mg/ml 25°C Ikke angitt
2.8 Tid
1039
Bevisgrad D

Glass Vann til injeksjon (4°C) 10 & 25 mg/ml -20°C Ikke angitt
21 Dag
4227
Bevisgrad B

Glass Vann til injeksjon (4°C) 10 & 25 mg/ml 25°C Ikke angitt
4 Tid
4227
Bevisgrad B

Glass Vann til injeksjon (4°C) 10 & 25 mg/ml 4°C Ikke angitt
24 Tid
4227
Bevisgrad B

motstridende data
Glass Vann til injeksjon (4°C) 25 mg/ml 2-8°C Beskyttes mot lys
22 Tid
3236
Stabilitetsopplysninger fra produsent

Polypropylen Natriumklorid 0,9 % 1.4 >> 2.4 mg/ml 4°C Ikke angitt
3 Tid
3816
Bevisgrad D

Polypropylen Vann til injeksjon (4°C) 10 & 25 mg/ml -20°C Ikke angitt
21 Dag
4227
Bevisgrad B

Polypropylen Vann til injeksjon (4°C) 10 & 25 mg/ml 4°C Ikke angitt
24 Tid
4227
Bevisgrad B

motstridende data
Sprøyte polypropylen Ringers laktatoppløsning 0.5 mg/ml -20°C Beskyttes mot lys
30 Dag
414
Bevisgrad D

Sprøyte polypropylen Ringers laktatoppløsning 0.5 & 2 mg/ml 20°C Ikke angitt
2 Tid
414
Bevisgrad D

Sprøyte polypropylen Ringers laktatoppløsning 2 mg/ml -20°C Beskyttes mot lys
18 Dag
414
Bevisgrad D

Sprøyte polypropylen Vann til injeksjon (4°C) 25 mg/ml -20°C Beskyttes mot lys
8 Dag
3204
Bevisgrad A

Sprøyte polypropylen Vann til injeksjon (4°C) 25 mg/ml -20°C Ikke angitt
23 Dag
3351
Bevisgrad B

Sprøyte polypropylen Vann til injeksjon (4°C) 25 mg/ml -20°C Beskyttes mot lys
30 Dag
3818
Bevisgrad A

Sprøyte polypropylen Vann til injeksjon (4°C) 25 mg/ml -20°C Beskyttes mot lys
28 Dag
4697
Bevisgrad C

Sprøyte polypropylen Vann til injeksjon (4°C) 25 mg/ml 2-8°C Beskyttes mot lys
48 Tid
3534
Bevisgrad A

motstridende data
Sprøyte polypropylen Vann til injeksjon (4°C) 25 mg/ml 2-8°C Beskyttes mot lys
3 Dag
3818
Bevisgrad A

motstridende data
Sprøyte polypropylen Vann til injeksjon (4°C) 25 mg/ml 2-8°C Beskyttes mot lys
48 Tid
4628
Bevisgrad A +

motstridende data
Sprøyte polypropylen Vann til injeksjon (4°C) 25 mg/ml 2-8°C Beskyttes mot lys
4 Dag
4697
Bevisgrad C

motstridende data
Sprøyte polypropylen Vann til injeksjon (4°C) 25 mg/ml 20-25°C Beskyttes mot lys
2 Tid
4697
Bevisgrad C

Sprøyte polypropylen Vann til injeksjon (4°C) 25 mg/ml 4°C Beskyttes mot lys
5 Dag
3246
Bevisgrad A +

motstridende data

  Mentions Légales