Posledná aktualizácia :
27/01/2026
Protinádorová liečba   Azacitidine  
Injekcia
Stabilita roztokov Stabilita v zmesiach Faktory ovplyvňujúce stabilitu Kompatibility spôsob podania Odkazy na literatúru PDF
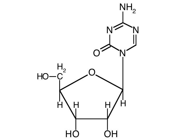
   Chemický vzorec  

Obchodný názov   Obchodný názov     

Obchodné názvy sú orientačné, a zloženie pomocných látok sa môže líšiť v závislosti od krajiny a výrobcu.

Amilix Argentína
Arquimes Argentína
Azacimyl Čile
Azacitidina Argentína, Čile, peru
Azacitidine Nemecko, Spojené štáty Americké
Azacor peru
Azadin Turecko
Azamex Argentína
Azanova Argentína
Azateva Argentína
Azida Turecko
Azitech Argentína
Citofin Argentína
Iclacitidina peru
Iterbil Argentína
Maturus Argentína
Mietozitidina Argentína, peru
Nimodac Argentína
Remitiva Čile
Tazadir Argentína
Vidaza Argentína, Austrália, Belgicko, Brazília, Chorvátsko, Čile, Fínsko, Francúzsko, Island, Japonsko, Kanada, Kolumbia, Luxembursko, Maďarsko, Malajzia, Mexiko, Nemecko, Nórsko, nový Zéland, peru, Rumunsko, Slovinsko, Španielsko, Spojené štáty Americké, Švajčiarsko, Švédsko, Taliansko, Tunisko, Turecko, Veľká Británia
Zacidonel Mexiko
Zylatadina Argentína
Stabilita roztokov   Injekcia   Stabilita roztokov : Azacitidine     
obal rozpúšťadlo koncentrácia teplota uchovávanie Trvanie stability odkazy na lieteratúru
Sklo voda na injekciu 10 & 25 mg/ml 25°C nešpecifikované
2 hodín
4227
Úroveň dôkazov B

Sklo voda na injekciu 25 mg/ml 2-8°C nešpecifikované
8 hodín
3236
Údaje o stabilite od výrobcu

Sklo voda na injekciu 25 mg/ml 25°C nešpecifikované
0.75 hodín
3236
Údaje o stabilite od výrobcu

Sklo 0,9% chlorid sodný 0.2 mg/ml 25°C nešpecifikované
1.9 hodín
1039
Úroveň dôkazov D

Sklo 0,9% chlorid sodný 2 mg/ml 25°C nešpecifikované
2.4 hodín
1039
Úroveň dôkazov D

Sklo Ringerov laktátový roztok 0.2 mg/ml 25°C nešpecifikované
1.9 hodín
1039
Úroveň dôkazov D

Sklo Ringerov laktátový roztok 2 mg/ml 25°C nešpecifikované
2.8 hodín
1039
Úroveň dôkazov D

Sklo voda na injekciu (4°C) 10 & 25 mg/ml -20°C nešpecifikované
21 dní
4227
Úroveň dôkazov B

Sklo voda na injekciu (4°C) 10 & 25 mg/ml 25°C nešpecifikované
4 hodín
4227
Úroveň dôkazov B

Sklo voda na injekciu (4°C) 10 & 25 mg/ml 4°C nešpecifikované
24 hodín
4227
Úroveň dôkazov B

konfliktné údaje
Sklo voda na injekciu (4°C) 25 mg/ml 2-8°C Chránené pred svetlom
22 hodín
3236
Údaje o stabilite od výrobcu

polypropylén 0,9% chlorid sodný 1.4 >> 2.4 mg/ml 4°C nešpecifikované
3 hodín
3816
Úroveň dôkazov D

polypropylén voda na injekciu (4°C) 10 & 25 mg/ml -20°C nešpecifikované
21 dní
4227
Úroveň dôkazov B

polypropylén voda na injekciu (4°C) 10 & 25 mg/ml 4°C nešpecifikované
24 hodín
4227
Úroveň dôkazov B

konfliktné údaje
Injekčná striekačka polypropylén Ringerov laktátový roztok 0.5 mg/ml -20°C Chránené pred svetlom
30 dní
414
Úroveň dôkazov D

Injekčná striekačka polypropylén Ringerov laktátový roztok 0.5 & 2 mg/ml 20°C nešpecifikované
2 hodín
414
Úroveň dôkazov D

Injekčná striekačka polypropylén Ringerov laktátový roztok 2 mg/ml -20°C Chránené pred svetlom
18 dní
414
Úroveň dôkazov D

Injekčná striekačka polypropylén voda na injekciu (4°C) 25 mg/ml -20°C Chránené pred svetlom
8 dní
3204
Úroveň dôkazov A

Injekčná striekačka polypropylén voda na injekciu (4°C) 25 mg/ml -20°C nešpecifikované
23 dní
3351
Úroveň dôkazov B

Injekčná striekačka polypropylén voda na injekciu (4°C) 25 mg/ml -20°C Chránené pred svetlom
30 dní
3818
Úroveň dôkazov A

Injekčná striekačka polypropylén voda na injekciu (4°C) 25 mg/ml -20°C Chránené pred svetlom
28 dní
4697
Úroveň dôkazov C

Injekčná striekačka polypropylén voda na injekciu (4°C) 25 mg/ml 2-8°C Chránené pred svetlom
48 hodín
3534
Úroveň dôkazov A

konfliktné údaje
Injekčná striekačka polypropylén voda na injekciu (4°C) 25 mg/ml 2-8°C Chránené pred svetlom
3 dní
3818
Úroveň dôkazov A

konfliktné údaje
Injekčná striekačka polypropylén voda na injekciu (4°C) 25 mg/ml 2-8°C Chránené pred svetlom
48 hodín
4628
Úroveň dôkazov A+

konfliktné údaje
Injekčná striekačka polypropylén voda na injekciu (4°C) 25 mg/ml 2-8°C Chránené pred svetlom
4 dní
4697
Úroveň dôkazov C

konfliktné údaje
Injekčná striekačka polypropylén voda na injekciu (4°C) 25 mg/ml 20-25°C Chránené pred svetlom
2 hodín
4697
Úroveň dôkazov C

Injekčná striekačka polypropylén voda na injekciu (4°C) 25 mg/ml 4°C Chránené pred svetlom
5 dní
3246
Úroveň dôkazov A+

konfliktné údaje

  Mentions Légales