Seneste opdatering :
18/03/2026
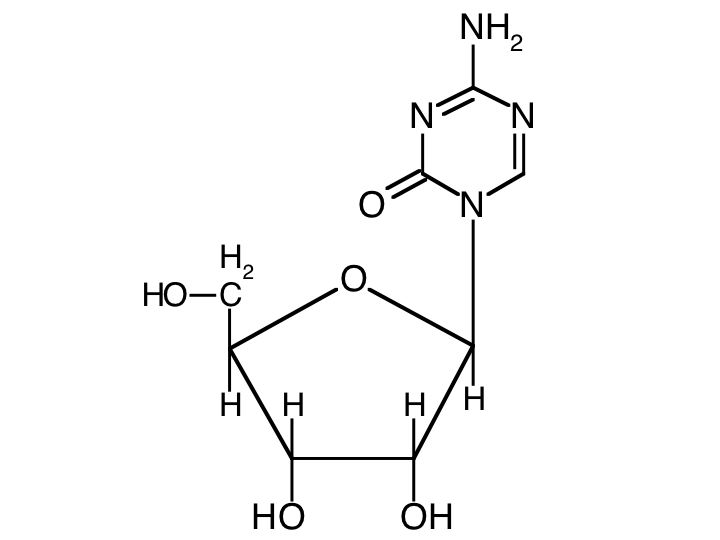
anticancer medicin   Azacitidine  
Injektion
Stabilitet i (vandige) opløsninger Stabilitet i blandinger Faktorer der påvirker stabiliteten Kompatibilitet Administrationsvej Bibliografi pdf
   Kemisk struktur  

Handelsnavn   Handelsnavn     

Handel navne er vejledende og hjælpestoffer sammensætning kan være forskellig afhængigt af landet og laboratorier

Amilix Argentina
Arquimes Argentina
Azacimyl Chile
Azacitidina Argentina, Chile, Marokko
Azacitidine Tyskland, USA
Azacor Marokko
Azadin Tyrkiet
Azamex Argentina
Azanova Argentina
Azateva Argentina
Azida Tyrkiet
Azitech Argentina
Citofin Argentina
Iclacitidina Marokko
Iterbil Argentina
Maturus Argentina
Mietozitidina Argentina, Marokko
Nimodac Argentina
Remitiva Chile
Tazadir Argentina
Vidaza Argentina, Australien, Belgien, Brasilien, Canada, Chile, Colombia, Finland, Frankrig, Island, Italien, Japan, Kroatien, Luxemborg, Malaysia, Marokko, Mexico, New Zealand, Norge, Rumænien, Schweiz, Slovenien, Spanien, Storbritanien, Sverige, Tunesien, Tyrkiet, Tyskland, Ungarn, USA
Zacidonel Mexico
Zylatadina Argentina
Stabilitet i (vandige) opløsninger   Injektion   Stabilitet i (vandige) opløsninger : Azacitidine     
Beholder Opløsningsmiddel Koncentration Temperatur Konservering Varighed af stabilitet Bibliografi
Glas Vand til injektion 10 & 25 mg/ml 25°C Ikke nærmere angivet
2 Time
4227
Level af bevismateriale B

Glas Vand til injektion 25 mg/ml 2-8°C Ikke nærmere angivet
8 Time
3236
Producentens stabilitet data

Glas Vand til injektion 25 mg/ml 25°C Ikke nærmere angivet
0.75 Time
3236
Producentens stabilitet data

Glas 0,9 % Natriumklorid 0.2 mg/ml 25°C Ikke nærmere angivet
1.9 Time
1039
Level af bevismateriale D

Glas 0,9 % Natriumklorid 2 mg/ml 25°C Ikke nærmere angivet
2.4 Time
1039
Level af bevismateriale D

Glas Ringer laktat 0.2 mg/ml 25°C Ikke nærmere angivet
1.9 Time
1039
Level af bevismateriale D

Glas Ringer laktat 2 mg/ml 25°C Ikke nærmere angivet
2.8 Time
1039
Level af bevismateriale D

Glas Vand til injektion (4°C) 10 & 25 mg/ml -20°C Ikke nærmere angivet
21 Dag
4227
Level af bevismateriale B

Glas Vand til injektion (4°C) 10 & 25 mg/ml 25°C Ikke nærmere angivet
4 Time
4227
Level af bevismateriale B

Glas Vand til injektion (4°C) 10 & 25 mg/ml 4°C Ikke nærmere angivet
24 Time
4227
Level af bevismateriale B

modstridende data
Glas Vand til injektion (4°C) 25 mg/ml 2-8°C Beskyt mod lys
22 Time
3236
Producentens stabilitet data

Polypropylen 0,9 % Natriumklorid 1.4 >> 2.4 mg/ml 4°C Ikke nærmere angivet
3 Time
3816
Level af bevismateriale D

Polypropylen Vand til injektion (4°C) 10 & 25 mg/ml -20°C Ikke nærmere angivet
21 Dag
4227
Level af bevismateriale B

Polypropylen Vand til injektion (4°C) 10 & 25 mg/ml 4°C Ikke nærmere angivet
24 Time
4227
Level af bevismateriale B

modstridende data
sprøjte polypropylen Ringer laktat 0.5 mg/ml -20°C Beskyt mod lys
30 Dag
414
Level af bevismateriale D

sprøjte polypropylen Ringer laktat 0.5 & 2 mg/ml 20°C Ikke nærmere angivet
2 Time
414
Level af bevismateriale D

sprøjte polypropylen Ringer laktat 2 mg/ml -20°C Beskyt mod lys
18 Dag
414
Level af bevismateriale D

sprøjte polypropylen Vand til injektion (4°C) 25 mg/ml -20°C Beskyt mod lys
8 Dag
3204
Level af bevismateriale A

sprøjte polypropylen Vand til injektion (4°C) 25 mg/ml -20°C Ikke nærmere angivet
23 Dag
3351
Level af bevismateriale B

sprøjte polypropylen Vand til injektion (4°C) 25 mg/ml -20°C Beskyt mod lys
30 Dag
3818
Level af bevismateriale A

sprøjte polypropylen Vand til injektion (4°C) 25 mg/ml -20°C Beskyt mod lys
28 Dag
4697
Level af bevismateriale C

sprøjte polypropylen Vand til injektion (4°C) 25 mg/ml 2-8°C Beskyt mod lys
48 Time
3534
Level af bevismateriale A

modstridende data
sprøjte polypropylen Vand til injektion (4°C) 25 mg/ml 2-8°C Beskyt mod lys
3 Dag
3818
Level af bevismateriale A

modstridende data
sprøjte polypropylen Vand til injektion (4°C) 25 mg/ml 2-8°C Beskyt mod lys
48 Time
4628
Level af bevismateriale A+

modstridende data
sprøjte polypropylen Vand til injektion (4°C) 25 mg/ml 2-8°C Beskyt mod lys
4 Dag
4697
Level af bevismateriale C

modstridende data
sprøjte polypropylen Vand til injektion (4°C) 25 mg/ml 20-25°C Beskyt mod lys
2 Time
4697
Level af bevismateriale C

sprøjte polypropylen Vand til injektion (4°C) 25 mg/ml 4°C Beskyt mod lys
5 Dag
3246
Level af bevismateriale A+

modstridende data

  Mentions Légales