Última actualización :
27/01/2026
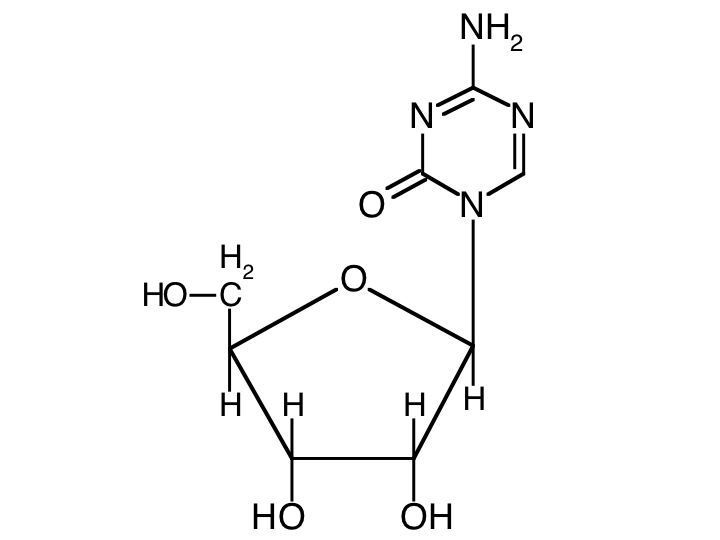
fármacos contra el cáncer   Azacitidine  
Inyectables
Estabilidad en solucion Estabilidad en mezcla Factores que influyen sobre la estabilidad Compatibilidades método de inyección Bibliografía pdf
   Estructura química  

Nombre comercial   Nombre comercial     

Los nombres comerciales son orientativos y los excipientes de la formulación pueden ser distintos dependiendo del país y del laboratorio fabricante.

Amilix Argentina
Arquimes Argentina
Azacimyl Chile
Azacitidina Argentina, Chile, Marruecos
Azacitidine Alemania, Estados Unidos de América
Azacor Marruecos
Azadin Turquía
Azamex Argentina
Azanova Argentina
Azateva Argentina
Azida Turquía
Azitech Argentina
Citofin Argentina
Iclacitidina Marruecos
Iterbil Argentina
Maturus Argentina
Mietozitidina Argentina, Marruecos
Nimodac Argentina
Remitiva Chile
Tazadir Argentina
Vidaza Alemania, Argentina, Australia, Bélgica, Brasil, Canadá, Chile, Colombia, Croacia, Eslovenia, España, Estados Unidos de América, Finlandia, Francia, Gran Bretaña, Hungría, Islandia, Italia, Japón, Luxemburgo, Malasia, Marruecos, México, Noruega, Nueva Zelanda, Rumania, Suecia, Suiza, Túnez, Turquía
Zacidonel México
Zylatadina Argentina
Estabilidad en solucion   Inyectables   Estabilidad en solucion : Azacitidine     
Envase Solvente Concentración Temperatura Conservación Duración de la estabilidad Bibliografía
Vidrio Agua para preparación inyectable 10 & 25 mg/ml 25°C No precisada
2 Hora
4227
Nivel de evidencia B

Vidrio Agua para preparación inyectable 25 mg/ml 2-8°C No precisada
8 Hora
3236
Datos de estabilidad del fabricante

Vidrio Agua para preparación inyectable 25 mg/ml 25°C No precisada
0.75 Hora
3236
Datos de estabilidad del fabricante

Vidrio Cloruro de sodio 0,9% 0.2 mg/ml 25°C No precisada
1.9 Hora
1039
Nivel de evidencia D

Vidrio Cloruro de sodio 0,9% 2 mg/ml 25°C No precisada
2.4 Hora
1039
Nivel de evidencia D

Vidrio Ringer lactato 0.2 mg/ml 25°C No precisada
1.9 Hora
1039
Nivel de evidencia D

Vidrio Ringer lactato 2 mg/ml 25°C No precisada
2.8 Hora
1039
Nivel de evidencia D

Vidrio Agua para preparación inyectable (4°C) 10 & 25 mg/ml -20°C No precisada
21 Día
4227
Nivel de evidencia B

Vidrio Agua para preparación inyectable (4°C) 10 & 25 mg/ml 25°C No precisada
4 Hora
4227
Nivel de evidencia B

Vidrio Agua para preparación inyectable (4°C) 10 & 25 mg/ml 4°C No precisada
24 Hora
4227
Nivel de evidencia B

datos contradictorios
Vidrio Agua para preparación inyectable (4°C) 25 mg/ml 2-8°C A cubierto de la luz
22 Hora
3236
Datos de estabilidad del fabricante

Polipropileno Cloruro de sodio 0,9% 1.4 >> 2.4 mg/ml 4°C No precisada
3 Hora
3816
Nivel de evidencia D

Polipropileno Agua para preparación inyectable (4°C) 10 & 25 mg/ml -20°C No precisada
21 Día
4227
Nivel de evidencia B

Polipropileno Agua para preparación inyectable (4°C) 10 & 25 mg/ml 4°C No precisada
24 Hora
4227
Nivel de evidencia B

datos contradictorios
jeringa polipropileno Ringer lactato 0.5 mg/ml -20°C A cubierto de la luz
30 Día
414
Nivel de evidencia D

jeringa polipropileno Ringer lactato 0.5 & 2 mg/ml 20°C No precisada
2 Hora
414
Nivel de evidencia D

jeringa polipropileno Ringer lactato 2 mg/ml -20°C A cubierto de la luz
18 Día
414
Nivel de evidencia D

jeringa polipropileno Agua para preparación inyectable (4°C) 25 mg/ml -20°C A cubierto de la luz
8 Día
3204
Nivel de evidencia A

jeringa polipropileno Agua para preparación inyectable (4°C) 25 mg/ml -20°C No precisada
23 Día
3351
Nivel de evidencia B

jeringa polipropileno Agua para preparación inyectable (4°C) 25 mg/ml -20°C A cubierto de la luz
30 Día
3818
Nivel de evidencia A

jeringa polipropileno Agua para preparación inyectable (4°C) 25 mg/ml -20°C A cubierto de la luz
28 Día
4697
Nivel de evidencia C

jeringa polipropileno Agua para preparación inyectable (4°C) 25 mg/ml 2-8°C A cubierto de la luz
48 Hora
3534
Nivel de evidencia A

datos contradictorios
jeringa polipropileno Agua para preparación inyectable (4°C) 25 mg/ml 2-8°C A cubierto de la luz
3 Día
3818
Nivel de evidencia A

datos contradictorios
jeringa polipropileno Agua para preparación inyectable (4°C) 25 mg/ml 2-8°C A cubierto de la luz
48 Hora
4628
Nivel de evidencia A+

datos contradictorios
jeringa polipropileno Agua para preparación inyectable (4°C) 25 mg/ml 2-8°C A cubierto de la luz
4 Día
4697
Nivel de evidencia C

datos contradictorios
jeringa polipropileno Agua para preparación inyectable (4°C) 25 mg/ml 20-25°C A cubierto de la luz
2 Hora
4697
Nivel de evidencia C

jeringa polipropileno Agua para preparación inyectable (4°C) 25 mg/ml 4°C A cubierto de la luz
5 Día
3246
Nivel de evidencia A+

datos contradictorios

  Mentions Légales