viimane versioon :
27/01/2026
vähiravimite   Azacitidine  
Süsteravim
Stabiilsus lahustes Stabiilsust mõjutavad tegurid stabiilsust mõjutavad faktorid Sobimatus Manustamis viis Viited pdf
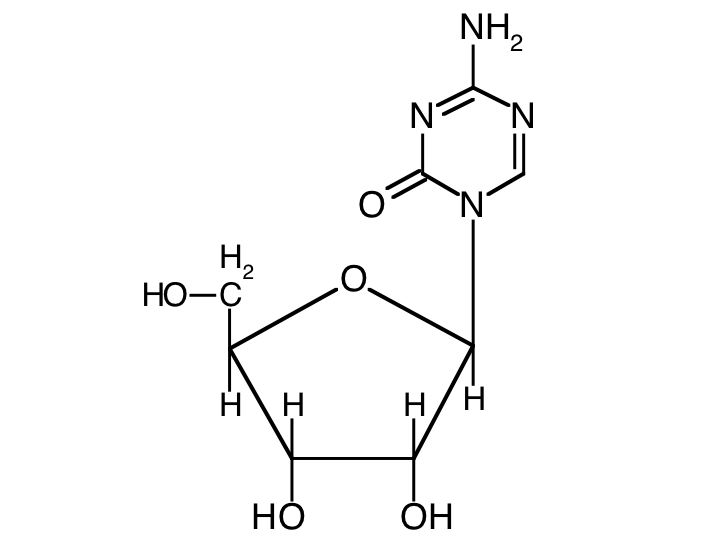
   keemiline struktuur  

Kaubanduslikud nimed erinevates maades   Kaubanduslikud nimed erinevates maades     

Preparaatide nimed on näitlikud ja abianete sisaldus võib erineda sõltuvalt riigist ja laborist

Amilix Argentiina
Arquimes Argentiina
Azacimyl Tšiili
Azacitidina Argentiina, Maroko, Tšiili
Azacitidine Ameerika ühendriigid, Saksamaa
Azacor Maroko
Azadin Türgi
Azamex Argentiina
Azanova Argentiina
Azateva Argentiina
Azida Türgi
Azitech Argentiina
Citofin Argentiina
Iclacitidina Maroko
Iterbil Argentiina
Maturus Argentiina
Mietozitidina Argentiina, Maroko
Nimodac Argentiina
Remitiva Tšiili
Tazadir Argentiina
Vidaza Ameerika ühendriigid, Argentiina, Austraalia, Belgia, Brasiilia, Hispaania, Horvaatia, Island, Itaalia, Jaapan, Kanada, Kolumbia, Luksemburg, Malaisia, Maroko, Mehhiko, Norra, Prantsusmaa, Rootsi, Rumeenia, Saksamaa, Sloveenia, Soome, Suurbritannia, Sveits, Tšiili, Tuneesia, Türgi, Ungari, uus-Meremaa
Zacidonel Mehhiko
Zylatadina Argentiina
Stabiilsus lahustes   Süsteravim   Stabiilsus lahustes : Azacitidine     
konteiner lahusti kontsentratsioon temperatuur ladustamine Stabiilsuse kestus Viited
klaas süstevesi 10 & 25 mg/ml 25°C pole täpsustatud
2 Tund
4227
Tõenduspõhisuse tase B

klaas süstevesi 25 mg/ml 2-8°C pole täpsustatud
8 Tund
3236
Tootja info stabiilsuse kohta

klaas süstevesi 25 mg/ml 25°C pole täpsustatud
0.75 Tund
3236
Tootja info stabiilsuse kohta

klaas naatriumkloriid 0.9% 0.2 mg/ml 25°C pole täpsustatud
1.9 Tund
1039
Tõenduspõhisuse tase D

klaas naatriumkloriid 0.9% 2 mg/ml 25°C pole täpsustatud
2.4 Tund
1039
Tõenduspõhisuse tase D

klaas Ringer laktaat 0.2 mg/ml 25°C pole täpsustatud
1.9 Tund
1039
Tõenduspõhisuse tase D

klaas Ringer laktaat 2 mg/ml 25°C pole täpsustatud
2.8 Tund
1039
Tõenduspõhisuse tase D

klaas süstevesi (4°C) 10 & 25 mg/ml -20°C pole täpsustatud
21 päev
4227
Tõenduspõhisuse tase B

klaas süstevesi (4°C) 10 & 25 mg/ml 25°C pole täpsustatud
4 Tund
4227
Tõenduspõhisuse tase B

klaas süstevesi (4°C) 10 & 25 mg/ml 4°C pole täpsustatud
24 Tund
4227
Tõenduspõhisuse tase B

vastuolulisi andmeid
klaas süstevesi (4°C) 25 mg/ml 2-8°C kaitsta valguse eest
22 Tund
3236
Tootja info stabiilsuse kohta

polüpropüleen naatriumkloriid 0.9% 1.4 >> 2.4 mg/ml 4°C pole täpsustatud
3 Tund
3816
Tõenduspõhisuse tase D

polüpropüleen süstevesi (4°C) 10 & 25 mg/ml -20°C pole täpsustatud
21 päev
4227
Tõenduspõhisuse tase B

polüpropüleen süstevesi (4°C) 10 & 25 mg/ml 4°C pole täpsustatud
24 Tund
4227
Tõenduspõhisuse tase B

vastuolulisi andmeid
süstal  polüpropüleenist Ringer laktaat 0.5 mg/ml -20°C kaitsta valguse eest
30 päev
414
Tõenduspõhisuse tase D

süstal  polüpropüleenist Ringer laktaat 0.5 & 2 mg/ml 20°C pole täpsustatud
2 Tund
414
Tõenduspõhisuse tase D

süstal  polüpropüleenist Ringer laktaat 2 mg/ml -20°C kaitsta valguse eest
18 päev
414
Tõenduspõhisuse tase D

süstal  polüpropüleenist süstevesi (4°C) 25 mg/ml -20°C kaitsta valguse eest
8 päev
3204
Tõenduspõhisuse tase A

süstal  polüpropüleenist süstevesi (4°C) 25 mg/ml -20°C pole täpsustatud
23 päev
3351
Tõenduspõhisuse tase B

süstal  polüpropüleenist süstevesi (4°C) 25 mg/ml -20°C kaitsta valguse eest
30 päev
3818
Tõenduspõhisuse tase A

süstal  polüpropüleenist süstevesi (4°C) 25 mg/ml -20°C kaitsta valguse eest
28 päev
4697
Tõenduspõhisuse tase C

süstal  polüpropüleenist süstevesi (4°C) 25 mg/ml 2-8°C kaitsta valguse eest
48 Tund
3534
Tõenduspõhisuse tase A

vastuolulisi andmeid
süstal  polüpropüleenist süstevesi (4°C) 25 mg/ml 2-8°C kaitsta valguse eest
3 päev
3818
Tõenduspõhisuse tase A

vastuolulisi andmeid
süstal  polüpropüleenist süstevesi (4°C) 25 mg/ml 2-8°C kaitsta valguse eest
48 Tund
4628
Tõenduspõhisuse tase A+

vastuolulisi andmeid
süstal  polüpropüleenist süstevesi (4°C) 25 mg/ml 2-8°C kaitsta valguse eest
4 päev
4697
Tõenduspõhisuse tase C

vastuolulisi andmeid
süstal  polüpropüleenist süstevesi (4°C) 25 mg/ml 20-25°C kaitsta valguse eest
2 Tund
4697
Tõenduspõhisuse tase C

süstal  polüpropüleenist süstevesi (4°C) 25 mg/ml 4°C kaitsta valguse eest
5 päev
3246
Tõenduspõhisuse tase A+

vastuolulisi andmeid

  Mentions Légales