Last update :
27/01/2026
Anticancer drug   Azacitidine  
injection
Stability in solutions Stability of mixtures Factors which affect stability Compatibility Route of administration References pdf
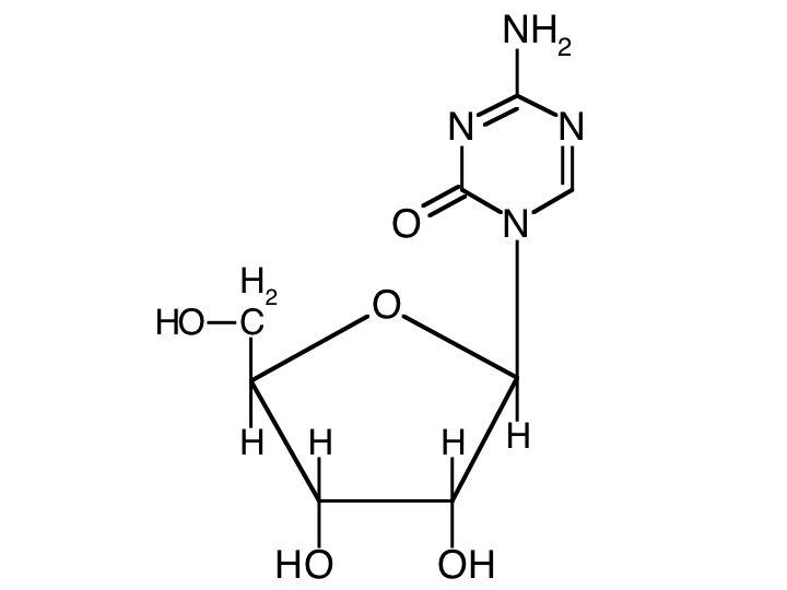
   Chemical structure  

Tradename   Tradename     

Trade names are indicative and excipients composition can be different depending on the country and manufacturers

Amilix Argentina
Arquimes Argentina
Azacimyl Chile
Azacitidina Argentina, Chile, Peru
Azacitidine Germany, United States of America
Azacor Peru
Azadin Turkey
Azamex Argentina
Azanova Argentina
Azateva Argentina
Azida Turkey
Azitech Argentina
Citofin Argentina
Iclacitidina Peru
Iterbil Argentina
Maturus Argentina
Mietozitidina Argentina, Peru
Nimodac Argentina
Remitiva Chile
Tazadir Argentina
Vidaza Argentina, Australia, Belgium, Brazil, Canada, Chile, Colombia, Croatia, Finland, France, Germany, Great Britain, Hungary, Iceland, Italy, Japan, Luxembourg, Malaysia, Mexico, New Zealand, Norway, Peru, Romania, Slovenia, Spain, Sweden, Switzerland, Tunisia, Turkey, United States of America
Zacidonel Mexico
Zylatadina Argentina
Stability in solutions   injection   Stability in solutions : Azacitidine     
Container Solvent Concentration Temperature Storage Duration of stability References
Glass Water for Injection 10 & 25 mg/ml 25°C Not specified
2 Hour
4227
Level of evidence B

Glass Water for Injection 25 mg/ml 2-8°C Not specified
8 Hour
3236
Manufacturer's stability data

Glass Water for Injection 25 mg/ml 25°C Not specified
0.75 Hour
3236
Manufacturer's stability data

Glass Sodium chloride 0,9% 0.2 mg/ml 25°C Not specified
1.9 Hour
1039
Level of evidence D

Glass Sodium chloride 0,9% 2 mg/ml 25°C Not specified
2.4 Hour
1039
Level of evidence D

Glass Ringer’s lactate solution 0.2 mg/ml 25°C Not specified
1.9 Hour
1039
Level of evidence D

Glass Ringer’s lactate solution 2 mg/ml 25°C Not specified
2.8 Hour
1039
Level of evidence D

Glass Water for Injection (4°C) 10 & 25 mg/ml -20°C Not specified
21 Day
4227
Level of evidence B

Glass Water for Injection (4°C) 10 & 25 mg/ml 25°C Not specified
4 Hour
4227
Level of evidence B

Glass Water for Injection (4°C) 10 & 25 mg/ml 4°C Not specified
24 Hour
4227
Level of evidence B

conflicting data
Glass Water for Injection (4°C) 25 mg/ml 2-8°C Protect from light
22 Hour
3236
Manufacturer's stability data

Polypropylene Sodium chloride 0,9% 1.4 >> 2.4 mg/ml 4°C Not specified
3 Hour
3816
Level of evidence D

Polypropylene Water for Injection (4°C) 10 & 25 mg/ml -20°C Not specified
21 Day
4227
Level of evidence B

Polypropylene Water for Injection (4°C) 10 & 25 mg/ml 4°C Not specified
24 Hour
4227
Level of evidence B

conflicting data
Polypropylen Syringe Ringer’s lactate solution 0.5 mg/ml -20°C Protect from light
30 Day
414
Level of evidence D

Polypropylen Syringe Ringer’s lactate solution 0.5 & 2 mg/ml 20°C Not specified
2 Hour
414
Level of evidence D

Polypropylen Syringe Ringer’s lactate solution 2 mg/ml -20°C Protect from light
18 Day
414
Level of evidence D

Polypropylen Syringe Water for Injection (4°C) 25 mg/ml -20°C Protect from light
8 Day
3204
Level of evidence A

Polypropylen Syringe Water for Injection (4°C) 25 mg/ml -20°C Not specified
23 Day
3351
Level of evidence B

Polypropylen Syringe Water for Injection (4°C) 25 mg/ml -20°C Protect from light
30 Day
3818
Level of evidence A

Polypropylen Syringe Water for Injection (4°C) 25 mg/ml -20°C Protect from light
28 Day
4697
Level of evidence C

Polypropylen Syringe Water for Injection (4°C) 25 mg/ml 2-8°C Protect from light
48 Hour
3534
Level of evidence A

conflicting data
Polypropylen Syringe Water for Injection (4°C) 25 mg/ml 2-8°C Protect from light
3 Day
3818
Level of evidence A

conflicting data
Polypropylen Syringe Water for Injection (4°C) 25 mg/ml 2-8°C Protect from light
48 Hour
4628
Level of evidence A+

conflicting data
Polypropylen Syringe Water for Injection (4°C) 25 mg/ml 2-8°C Protect from light
4 Day
4697
Level of evidence C

conflicting data
Polypropylen Syringe Water for Injection (4°C) 25 mg/ml 20-25°C Protect from light
2 Hour
4697
Level of evidence C

Polypropylen Syringe Water for Injection (4°C) 25 mg/ml 4°C Protect from light
5 Day
3246
Level of evidence A+

conflicting data

  Mentions Légales