Última actualización :
27/04/2026
Antiepiléptico   Fosphenytoin sodium  
Inyectables
Estabilidad en solucion Estabilidad en mezcla Factores que influyen sobre la estabilidad Compatibilidades método de inyección Bibliografía pdf
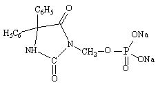
   Estructura química  

Nombre comercial   Nombre comercial     

Los nombres comerciales son orientativos y los excipientes de la formulación pueden ser distintos dependiendo del país y del laboratorio fabricante.

Cerebryx Canadá, Estados Unidos de América
Fosphen India
Fostoin Japón
Pro - Epanutin Austria, Dinamarca, Finlandia, Gran Bretaña, Irlanda, Islandia, Luxemburgo, Noruega, Países Bajos, Suecia
Prodilantin Austria, Dinamarca, Estados Unidos de América, Finlandia, Francia, Grecia, Hungría, Irlanda, Islandia, Japón, Países Bajos, Polonia
Sesquient Estados Unidos de América
Estabilidad en solucion   Inyectables   Estabilidad en solucion : Fosphenytoin sodium     
Envase Solvente Concentración Temperatura Conservación Duración de la estabilidad Bibliografía
Vidrio Cloruro de sodio 0,9% 1 & 8 & 20 mg/ml 25°C No precisada
30 Día
800
Nivel de evidencia A

Vidrio Cloruro de sodio 0,9% 1 & 8 & 20 mg/ml 4°C A cubierto de la luz
30 Día
800
Nivel de evidencia A

Vidrio Glucosa 5% 1 & 8 & 20 mg/ml 25°C No precisada
30 Día
800
Nivel de evidencia A

Vidrio Glucosa 5% 1 & 8 & 20 mg/ml 4°C A cubierto de la luz
30 Día
800
Nivel de evidencia A

Cloruro de polivinilo Cloruro de sodio 0,9% 1 & 8 & 20 mg/ml -20°C A cubierto de la luz
30 Día
800
Nivel de evidencia A

Cloruro de polivinilo Cloruro de sodio 0,9% 1 & 8 & 20 mg/ml 25°C No precisada
30 Día
800
Nivel de evidencia A

Cloruro de polivinilo Cloruro de sodio 0,9% 1 & 8 & 20 mg/ml 4°C A cubierto de la luz
30 Día
800
Nivel de evidencia A

Cloruro de polivinilo Glucosa 5% 1 & 8 & 20 mg/ml -20°C A cubierto de la luz
30 Día
800
Nivel de evidencia A

Cloruro de polivinilo Glucosa 5% 1 & 8 & 20 mg/ml 25°C No precisada
30 Día
800
Nivel de evidencia A

Cloruro de polivinilo Glucosa 5% 1 & 8 & 20 mg/ml 4°C A cubierto de la luz
30 Día
800
Nivel de evidencia A

jeringa polipropileno Ninguno 50 mg/ml -20°C Luz
30 Día
800
Nivel de evidencia A

jeringa polipropileno Ninguno 50 mg/ml 25°C No precisada
30 Día
800
Nivel de evidencia A

jeringa polipropileno Ninguno 50 mg/ml 4°C A cubierto de la luz
30 Día
800
Nivel de evidencia A


  Mentions Légales