Última actualização :
27/04/2026
Antiepiléptico   Fosphenytoin sodium  
injetável
Estabilidade em soluções simples Estabilidade em misturas Factores que afectam a sua estabilidade Compatibilidade Método de administração Bibliografía pdf
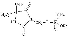
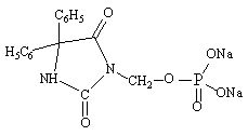
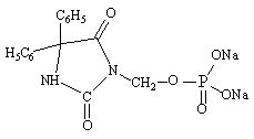
   estrutura química  

Nomes comerciais nos diversos países   Nomes comerciais nos diversos países     

OS NOMES COMERCIAIS SÃO INDICATIVOS E OS EXCIPIENTES DA FORMULAÇÃO PODEM SER DIFERENTES CONFORME O PAÍS E FABRICANTE.

Cerebryx Canadá, Estados Unidos de América
Fosphen Índia
Fostoin Japón
Pro - Epanutin Austria, Dinamarca, Finlandia, Gran-bretanha, Irlanda, Islandia, Luxemburgo, Noruega, Países Baixos, Suècia
Prodilantin Austria, Dinamarca, Estados Unidos de América, Finlandia, França, Grècia, Hungria, Irlanda, Islandia, Japón, Países Baixos, Polonia
Sesquient Estados Unidos de América
Estabilidade em soluções simples   injetável   Estabilidade em soluções simples : Fosphenytoin sodium     
Embalagem Solvente concentração temperatura conservação Duração da estabilidade Bibliografia
vidro cloreto de sódio 0,9% 1 & 8 & 20 mg/ml 25°C no especificado
30 dia
800
Nível de evidência A

vidro cloreto de sódio 0,9% 1 & 8 & 20 mg/ml 4°C ao abrigo da luz
30 dia
800
Nível de evidência A

vidro Glucose 5% 1 & 8 & 20 mg/ml 25°C no especificado
30 dia
800
Nível de evidência A

vidro Glucose 5% 1 & 8 & 20 mg/ml 4°C ao abrigo da luz
30 dia
800
Nível de evidência A

Cloreto de polivinilo cloreto de sódio 0,9% 1 & 8 & 20 mg/ml -20°C ao abrigo da luz
30 dia
800
Nível de evidência A

Cloreto de polivinilo cloreto de sódio 0,9% 1 & 8 & 20 mg/ml 25°C no especificado
30 dia
800
Nível de evidência A

Cloreto de polivinilo cloreto de sódio 0,9% 1 & 8 & 20 mg/ml 4°C ao abrigo da luz
30 dia
800
Nível de evidência A

Cloreto de polivinilo Glucose 5% 1 & 8 & 20 mg/ml -20°C ao abrigo da luz
30 dia
800
Nível de evidência A

Cloreto de polivinilo Glucose 5% 1 & 8 & 20 mg/ml 25°C no especificado
30 dia
800
Nível de evidência A

Cloreto de polivinilo Glucose 5% 1 & 8 & 20 mg/ml 4°C ao abrigo da luz
30 dia
800
Nível de evidência A

seringa polipropylen nenhum 50 mg/ml -20°C luz
30 dia
800
Nível de evidência A

seringa polipropylen nenhum 50 mg/ml 25°C no especificado
30 dia
800
Nível de evidência A

seringa polipropylen nenhum 50 mg/ml 4°C ao abrigo da luz
30 dia
800
Nível de evidência A


  Mentions Légales