Utolsó frissítés :
27/04/2026
Antiepileptikum   Fosphenytoin sodium  
Injekció
Az oldatok stabilitása A keverékek stabilitása Stabilitást befolyásoló tényezők Kompatibilitás Az alkalmazás módja Irodalom pdf
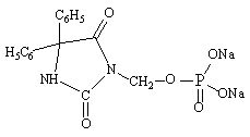
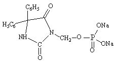
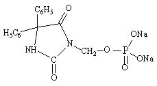
   Kémiai szerkezet   

Kereskedelmi név   Kereskedelmi név     

A kereskedelmi név meghatározó jelentőségű: a készítmények összetétele országonként, előállítóként eltérő lehet

Cerebryx Amerikai Egyesült Államok, Kanada
Fosphen India
Fostoin Japán
Pro - Epanutin Ausztria, Dánia, Finnország, Hollandia, Írország, Izland, Luxemburg, Nagy-Britannia, Norvégia, Svédország
Prodilantin Amerikai Egyesült Államok, Ausztria, Dánia, Finnország, Franciaország, Görögország, Hollandia, Írország, Izland, Japán, Lengyelország, Magyarország
Sesquient Amerikai Egyesült Államok
Az oldatok stabilitása   Injekció   Az oldatok stabilitása : Fosphenytoin sodium     
Csomagolás Oldószer Koncentráció Hőmérséklet Tárolás A stabilitás időtartama Irodalom
Üveg 0,9% nátrium-klorid 1 & 8 & 20 mg/ml 25°C Nincs meghatározva
30 Nap
800
Szintű bizonyítékot A

Üveg 0,9% nátrium-klorid 1 & 8 & 20 mg/ml 4°C Fénytől védve tartandó
30 Nap
800
Szintű bizonyítékot A

Üveg 5% glükóz 1 & 8 & 20 mg/ml 25°C Nincs meghatározva
30 Nap
800
Szintű bizonyítékot A

Üveg 5% glükóz 1 & 8 & 20 mg/ml 4°C Fénytől védve tartandó
30 Nap
800
Szintű bizonyítékot A

Poli(vinilklorid) 0,9% nátrium-klorid 1 & 8 & 20 mg/ml -20°C Fénytől védve tartandó
30 Nap
800
Szintű bizonyítékot A

Poli(vinilklorid) 0,9% nátrium-klorid 1 & 8 & 20 mg/ml 25°C Nincs meghatározva
30 Nap
800
Szintű bizonyítékot A

Poli(vinilklorid) 0,9% nátrium-klorid 1 & 8 & 20 mg/ml 4°C Fénytől védve tartandó
30 Nap
800
Szintű bizonyítékot A

Poli(vinilklorid) 5% glükóz 1 & 8 & 20 mg/ml -20°C Fénytől védve tartandó
30 Nap
800
Szintű bizonyítékot A

Poli(vinilklorid) 5% glükóz 1 & 8 & 20 mg/ml 25°C Nincs meghatározva
30 Nap
800
Szintű bizonyítékot A

Poli(vinilklorid) 5% glükóz 1 & 8 & 20 mg/ml 4°C Fénytől védve tartandó
30 Nap
800
Szintű bizonyítékot A

fecskendő polipropilén Egy sem 50 mg/ml -20°C Fény
30 Nap
800
Szintű bizonyítékot A

fecskendő polipropilén Egy sem 50 mg/ml 25°C Nincs meghatározva
30 Nap
800
Szintű bizonyítékot A

fecskendő polipropilén Egy sem 50 mg/ml 4°C Fénytől védve tartandó
30 Nap
800
Szintű bizonyítékot A


  Mentions Légales