Ultimo aggiornamento :
27/04/2026
Antiepilettico   Fosphenytoin sodium  
Iniezione
Stabilità in soluzione Stabilità in miscela Fattori che influenzano la stabilità Compatibilità metodo di iniezione Bibliografia pdf
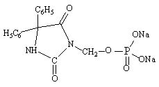
   Struttura chimica  

Nome commerciale   Nome commerciale     

Trade names are indicative and excipients composition can be different depending on the country and manufacturers

Cerebryx Canada, Stati Uniti d’America
Fosphen India
Fostoin Giappone
Pro - Epanutin Austria, Danimarca, Finlandia, Gran Bretagna, Irlanda, Islanda, Lussemburgo, Norvegia, Paesi Bassi, Svezia
Prodilantin Austria, Danimarca, Finlandia, Francia, Giappone, Grecia, Irlanda, Islanda, Paesi Bassi, Polonia, Stati Uniti d’America, Ungheria
Sesquient Stati Uniti d’America
Stabilità in soluzione   Iniezione   Stabilità in soluzione : Fosphenytoin sodium     
contenitore Solvente Concentrazione Temperatura Conservazione Durata della stabilità Bibliografia
Vetro Cloruro di sodio 0,9% 1 & 8 & 20 mg/ml 25°C Non precisata
30 Giorno
800
Livello di evidenza A

Vetro Cloruro di sodio 0,9% 1 & 8 & 20 mg/ml 4°C Al riparo dalla luce
30 Giorno
800
Livello di evidenza A

Vetro Glucosio 5% 1 & 8 & 20 mg/ml 25°C Non precisata
30 Giorno
800
Livello di evidenza A

Vetro Glucosio 5% 1 & 8 & 20 mg/ml 4°C Al riparo dalla luce
30 Giorno
800
Livello di evidenza A

Cloruro di polivinile Cloruro di sodio 0,9% 1 & 8 & 20 mg/ml -20°C Al riparo dalla luce
30 Giorno
800
Livello di evidenza A

Cloruro di polivinile Cloruro di sodio 0,9% 1 & 8 & 20 mg/ml 25°C Non precisata
30 Giorno
800
Livello di evidenza A

Cloruro di polivinile Cloruro di sodio 0,9% 1 & 8 & 20 mg/ml 4°C Al riparo dalla luce
30 Giorno
800
Livello di evidenza A

Cloruro di polivinile Glucosio 5% 1 & 8 & 20 mg/ml -20°C Al riparo dalla luce
30 Giorno
800
Livello di evidenza A

Cloruro di polivinile Glucosio 5% 1 & 8 & 20 mg/ml 25°C Non precisata
30 Giorno
800
Livello di evidenza A

Cloruro di polivinile Glucosio 5% 1 & 8 & 20 mg/ml 4°C Al riparo dalla luce
30 Giorno
800
Livello di evidenza A

siringa polipropilene Nessuno 50 mg/ml -20°C Luce
30 Giorno
800
Livello di evidenza A

siringa polipropilene Nessuno 50 mg/ml 25°C Non precisata
30 Giorno
800
Livello di evidenza A

siringa polipropilene Nessuno 50 mg/ml 4°C Al riparo dalla luce
30 Giorno
800
Livello di evidenza A


  Mentions Légales