Poslední aktualizace :
27/04/2026
Priešepilepsinis vaistas   Fosphenytoin sodium  
Įpurškimas
Tirpalų stabilumas Mišinių stabilumas Stabilumą lemiantys veiksniai Suderinamumas Leidimo būdai Bibliografija pdf
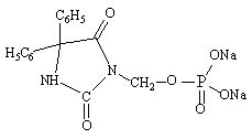
   Cheminė sandara  

Prekinis pavadinimas   Prekinis pavadinimas     

Trade names are indicative and excipients composition can be different depending on the country and manufacturers

Cerebryx Jungtinės Amerikos Valstijos, Kanada
Fosphen Indija
Fostoin Japonija
Pro - Epanutin Airija, Austrija, Danija, Didžioji Britanija, Islandija, Liuksemburgas, Norvegija, Olandija, Suomija, Švedija
Prodilantin Airija, Austrija, Danija, Graikija, Islandija, Japonija, Jungtinės Amerikos Valstijos, Lenkija, Olandija, Prancūzija, Suomija, Vengrija
Sesquient Jungtinės Amerikos Valstijos
Tirpalų stabilumas   Įpurškimas   Tirpalų stabilumas : Fosphenytoin sodium     
Pakuotė Tirpiklis Koncentracija Temperatūra Laikymas Stabilumo trukmė Nuorodos
Stiklas Natrio chloridas 0,9% 1 & 8 & 20 mg/ml 25°C Nenurodyta
30 Diena
800
Bandymo lygis A

Stiklas Natrio chloridas 0,9% 1 & 8 & 20 mg/ml 4°C Apsaugotas nuo šviesos
30 Diena
800
Bandymo lygis A

Stiklas Gliukozė 5% 1 & 8 & 20 mg/ml 25°C Nenurodyta
30 Diena
800
Bandymo lygis A

Stiklas Gliukozė 5% 1 & 8 & 20 mg/ml 4°C Apsaugotas nuo šviesos
30 Diena
800
Bandymo lygis A

Polivinilchloridas Natrio chloridas 0,9% 1 & 8 & 20 mg/ml -20°C Apsaugotas nuo šviesos
30 Diena
800
Bandymo lygis A

Polivinilchloridas Natrio chloridas 0,9% 1 & 8 & 20 mg/ml 25°C Nenurodyta
30 Diena
800
Bandymo lygis A

Polivinilchloridas Natrio chloridas 0,9% 1 & 8 & 20 mg/ml 4°C Apsaugotas nuo šviesos
30 Diena
800
Bandymo lygis A

Polivinilchloridas Gliukozė 5% 1 & 8 & 20 mg/ml -20°C Apsaugotas nuo šviesos
30 Diena
800
Bandymo lygis A

Polivinilchloridas Gliukozė 5% 1 & 8 & 20 mg/ml 25°C Nenurodyta
30 Diena
800
Bandymo lygis A

Polivinilchloridas Gliukozė 5% 1 & 8 & 20 mg/ml 4°C Apsaugotas nuo šviesos
30 Diena
800
Bandymo lygis A

Švirkštas polipropileno Nėra 50 mg/ml -20°C Šviesa
30 Diena
800
Bandymo lygis A

Švirkštas polipropileno Nėra 50 mg/ml 25°C Nenurodyta
30 Diena
800
Bandymo lygis A

Švirkštas polipropileno Nėra 50 mg/ml 4°C Apsaugotas nuo šviesos
30 Diena
800
Bandymo lygis A


  Mentions Légales