Τελευταία ενημέρωση :
27/04/2026
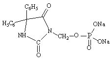
Αντιεπιληπτικό   Fosphenytoin sodium  
Ενέσιμο
Σταθερότητα διαλυμάτων Σταθερότητα σε μίγματα Παράγοντας που επηρεάζει τη σταθερότητα Συμβατότητες Τρόπος χορήγησης Βιβλιογραφία pdf
   χημική δομή  

Εμπορική ονομασία   Εμπορική ονομασία     

Οι εμπορικές ονομασίες είναι ενδεικτικές και η σύνθεση των εκδόχων μπορεί να διαφέρει ανάλογα με τη χώρα και τα εργαστήρια

Cerebryx Η.Π.Α., Καναδάς
Fosphen Ινδία
Fostoin Ιαπωνία
Pro - Epanutin Αυστρία, Δανία, Ιρλανδία, Ισλανδία, Λουξεμβούργο, Μεγάλη Βρετανία, Νορβηγία, Ολλανδία, Σουηδία, Φινλανδία
Prodilantin Αυστρία, Γαλλία, Δανία, Ελλάδα, Η.Π.Α., Ιαπωνία, Ιρλανδία, Ισλανδία, Ολλανδία, Ουγγαρία, Πολωνία, Φινλανδία
Sesquient Η.Π.Α.
Σταθερότητα διαλυμάτων   Ενέσιμο   Σταθερότητα διαλυμάτων : Fosphenytoin sodium     
Υποδοχέας Διαλυτικό Συγκέντρωση Θερμοκρασία Αποθήκευση Διάρκεια σταθερότητας Βιβλιογραφία
Ύαλος Χλωριούχο νάτριο 0,9% 1 & 8 & 20 mg/ml 25°C Απροσδιόριστο
30 Ημέρα
800
Επίπεδο των αποδεικτικών στοιχείων A

Ύαλος Χλωριούχο νάτριο 0,9% 1 & 8 & 20 mg/ml 4°C Προστατεύετε από το φως
30 Ημέρα
800
Επίπεδο των αποδεικτικών στοιχείων A

Ύαλος Γλυκόζη 5% 1 & 8 & 20 mg/ml 25°C Απροσδιόριστο
30 Ημέρα
800
Επίπεδο των αποδεικτικών στοιχείων A

Ύαλος Γλυκόζη 5% 1 & 8 & 20 mg/ml 4°C Προστατεύετε από το φως
30 Ημέρα
800
Επίπεδο των αποδεικτικών στοιχείων A

Πολυβινυλοχλωρίδιο Χλωριούχο νάτριο 0,9% 1 & 8 & 20 mg/ml -20°C Προστατεύετε από το φως
30 Ημέρα
800
Επίπεδο των αποδεικτικών στοιχείων A

Πολυβινυλοχλωρίδιο Χλωριούχο νάτριο 0,9% 1 & 8 & 20 mg/ml 25°C Απροσδιόριστο
30 Ημέρα
800
Επίπεδο των αποδεικτικών στοιχείων A

Πολυβινυλοχλωρίδιο Χλωριούχο νάτριο 0,9% 1 & 8 & 20 mg/ml 4°C Προστατεύετε από το φως
30 Ημέρα
800
Επίπεδο των αποδεικτικών στοιχείων A

Πολυβινυλοχλωρίδιο Γλυκόζη 5% 1 & 8 & 20 mg/ml -20°C Προστατεύετε από το φως
30 Ημέρα
800
Επίπεδο των αποδεικτικών στοιχείων A

Πολυβινυλοχλωρίδιο Γλυκόζη 5% 1 & 8 & 20 mg/ml 25°C Απροσδιόριστο
30 Ημέρα
800
Επίπεδο των αποδεικτικών στοιχείων A

Πολυβινυλοχλωρίδιο Γλυκόζη 5% 1 & 8 & 20 mg/ml 4°C Προστατεύετε από το φως
30 Ημέρα
800
Επίπεδο των αποδεικτικών στοιχείων A

σύριγγα πολυπροπυλένιο Ουδέν 50 mg/ml -20°C Φως
30 Ημέρα
800
Επίπεδο των αποδεικτικών στοιχείων A

σύριγγα πολυπροπυλένιο Ουδέν 50 mg/ml 25°C Απροσδιόριστο
30 Ημέρα
800
Επίπεδο των αποδεικτικών στοιχείων A

σύριγγα πολυπροπυλένιο Ουδέν 50 mg/ml 4°C Προστατεύετε από το φως
30 Ημέρα
800
Επίπεδο των αποδεικτικών στοιχείων A


  Mentions Légales