Ostatnia aktualizacja :
27/04/2026
środek przeciwpadaczkowy   Fosphenytoin sodium  
Injekcje
Trwałość roztworów Trwałość w mieszaninie Czynnik wpływający na trwałość Zgodność Sposób podania Bibliografia pdf
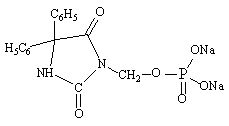
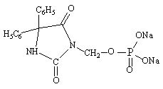
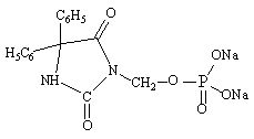
   Struktura chemiczna  

Nazwa handlowa   Nazwa handlowa     

Trade names are indicative and excipients composition can be different depending on the country and manufacturers

Cerebryx Kanada, Stany Zjednoczone Ameryki
Fosphen Indie
Fostoin Japonia
Pro - Epanutin Austria, Dania, Finlandia, Holandia, Irlandia, Islandia, Luksemburg, Norwegia, Szwecja, Wielka Brytania
Prodilantin Austria, Dania, Finlandia, Francja , Grecja, Holandia, Irlandia, Islandia, Japonia, Polska, Stany Zjednoczone Ameryki, Węgry
Sesquient Stany Zjednoczone Ameryki
Trwałość roztworów   Injekcje   Trwałość roztworów : Fosphenytoin sodium     
Pojemnik Rozpuszczalnik Stężenie Temperatura Przechowywanie Czas trwania stabilności Bibliografia
Szkło Chlorek sodu 0,9% 1 & 8 & 20 mg/ml 25°C Nie wyszczególniony
30 Dzień
800
Poziom wiarygodności A

Szkło Chlorek sodu 0,9% 1 & 8 & 20 mg/ml 4°C Chronić od światła
30 Dzień
800
Poziom wiarygodności A

Szkło Glukoza 5% 1 & 8 & 20 mg/ml 25°C Nie wyszczególniony
30 Dzień
800
Poziom wiarygodności A

Szkło Glukoza 5% 1 & 8 & 20 mg/ml 4°C Chronić od światła
30 Dzień
800
Poziom wiarygodności A

Polichlorek winylu Chlorek sodu 0,9% 1 & 8 & 20 mg/ml -20°C Chronić od światła
30 Dzień
800
Poziom wiarygodności A

Polichlorek winylu Chlorek sodu 0,9% 1 & 8 & 20 mg/ml 25°C Nie wyszczególniony
30 Dzień
800
Poziom wiarygodności A

Polichlorek winylu Chlorek sodu 0,9% 1 & 8 & 20 mg/ml 4°C Chronić od światła
30 Dzień
800
Poziom wiarygodności A

Polichlorek winylu Glukoza 5% 1 & 8 & 20 mg/ml -20°C Chronić od światła
30 Dzień
800
Poziom wiarygodności A

Polichlorek winylu Glukoza 5% 1 & 8 & 20 mg/ml 25°C Nie wyszczególniony
30 Dzień
800
Poziom wiarygodności A

Polichlorek winylu Glukoza 5% 1 & 8 & 20 mg/ml 4°C Chronić od światła
30 Dzień
800
Poziom wiarygodności A

Strzykawka Żaden 50 mg/ml -20°C światło
30 Dzień
800
Poziom wiarygodności A

Strzykawka Żaden 50 mg/ml 25°C Nie wyszczególniony
30 Dzień
800
Poziom wiarygodności A

Strzykawka Żaden 50 mg/ml 4°C Chronić od światła
30 Dzień
800
Poziom wiarygodności A


  Mentions Légales