Cập nhật lần cuối :
27/01/2026
Thuốc chống đông   Heparin sodium  
Dạng tiêm
Tính ổn định của các dung dịch Độ ổn định khi trộn lẫn Những yếu tố ảnh hưởng đến độ ổn định Khả năng tương thích Đường dùng Tài liệu tham khảo Pdf
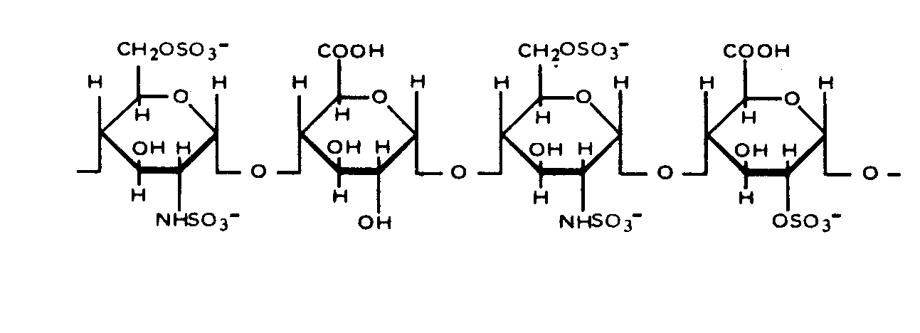
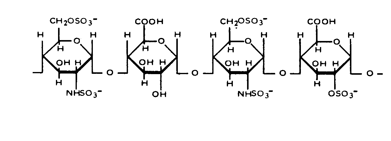
   Cấu trúc hóa học  

Tên thương mại   Tên thương mại     

Các tên thương mại được cung cấp và thành phần tá dược có thể khác nhau giữa các quốc gia và các hãng dược

Arapin Chile
Ateroclar Ý
Clarisco Ý
Epsoclar Ý
Hepaflex Na Uy, Phần Lan
Hepamax Chile, Colombia, Ecuador
Heparin Anh, Áo, Canada, Cộng hòa Nam Phi, Hà Lan, Hoa Kỳ, Hungary, Hy Lạp, Na Uy, Nga, Phần Lan, Serbia, Thái Lan, Thổ Nhĩ Kỳ, Thụy Sỹ, Thụy Điển, Đan Mạch
Heparine Bỉ, Pháp
Heparinised Úc
Heparstad Đức
Liquemin Thổ Nhĩ Kỳ, Thụy Sỹ
Liquemine Brazil
Monoparin Ả Rập Saudi
Normoparin Ý
Nuparin Ecuador
Pharepa Ý
Riveparin Argentina
Sobrius Argentina, Ecuador
Thrombophob Đức
Độ ổn định khi trộn lẫn   Dạng tiêm   Độ ổn định khi trộn lẫn : Heparin sodium     
Bao bì Dung môi Nồng độ Phân tử Nhiệt độ Bảo quản Thời gian ổn định Mục lục
Thủy tinh NaCl 0,9% 9,75 UI/ml
Dạng tiêm   Heparin sodium   
Dạng tiêm   Vancomycin hydrochloride 0,025 mg/ml
23°C
85 Ngày
Không rõ 3958
Phương pháp sinh học
Thủy tinh NaCl 0,9% 50 UI/ml
Dạng tiêm   Heparin sodium   
Dạng tiêm   Magnesium sulfate 15,6 mg/ml
25°C
14 Ngày
Ánh sáng 2100
Phương pháp sinh học
Thủy tinh NaCl 0,9% 2500 UI/ml
Dạng tiêm   Heparin sodium   
Dạng tiêm   Telavancin hydrochloride 2 & 5 mg/ml
Dạng tiêm   Sodium citrate 22 & 40 mg/ml
37°C
72 Giờ
Tránh ánh sáng 3327
Cấp độ bằng chứng D
Thủy tinh NaCl 0,9% 2500 UI/ml
Dạng tiêm   Heparin sodium   
Dạng tiêm   Vancomycin hydrochloride 2 & 5 mg/ml
Dạng tiêm   Sodium citrate 22 & 40 mg/ml
37°C
72 Giờ
Tránh ánh sáng 3327
Cấp độ bằng chứng D
Thủy tinh NaCl 0,9% 100 UI/ml
Dạng tiêm   Heparin sodium   
Dạng tiêm   Vancomycin hydrochloride 0,025 mg/ml
4°C
63 Ngày
Tránh ánh sáng 1414
Phương pháp sinh học
Thủy tinh NaCl 0,9% 9,75 UI/ml
Dạng tiêm   Heparin sodium   
Dạng tiêm   Vancomycin hydrochloride 0,025 mg/ml
4°C
85 Ngày
Không rõ 3958
Phương pháp sinh học
Thủy tinh Glucose 5% 59 UI/ml
Dạng tiêm   Heparin sodium   
Dạng tiêm   Milrinone lactate 0,2 mg/ml
22°C-23°C
4 Giờ
Ánh sáng 813
Cấp độ bằng chứng A
Thủy tinh Glucose 5% 20 UI/ml
Dạng tiêm   Heparin sodium   
Dạng tiêm   Dopamine hydrochloride 0,8 mg/ml
23°C-25°C
24 Giờ
Ánh sáng 738
JOKER
Thủy tinh Glucose 5% 50 UI/ml
Dạng tiêm   Heparin sodium   
Dạng tiêm   Palonosetron hydrochloride 25 µg/ml
25°C
4 Giờ
Ánh sáng 2279
Cấp độ bằng chứng A+
Thủy tinh Glucose 5% 100 UI/ml
Dạng tiêm   Heparin sodium   
Dạng tiêm   Fluconazole 1 mg/ml
25°C
24 Giờ
Ánh sáng 257
Cấp độ bằng chứng D
Nhựa polyvinyl chloride NaCl 0,9% 20 & 50 UI/ml
Dạng tiêm   Heparin sodium   
Dạng tiêm   Tirofiban 25 µg/ml
25°C
4 Giờ
Ánh sáng 1420
Cấp độ bằng chứng C+
Nhựa polyvinyl chloride Glucose 5% 50 UI/ml
Dạng tiêm   Heparin sodium   
Dạng tiêm   Flumazenil 0,02 mg/ml
23°C
24 Giờ
Ánh sáng 187
Cấp độ bằng chứng A
Nhựa polyvinyl chloride Glucose 5% 20 & 50 UI/ml
Dạng tiêm   Heparin sodium   
Dạng tiêm   Tirofiban 25 µg/ml
25°C
4 Giờ
Ánh sáng 1420
Cấp độ bằng chứng C+
Nhựa polyvinyl chloride Dianéal® PD1 1,5% glucose (Baxter) 0,5 UI/ml
Dạng tiêm   Heparin sodium   
Dạng tiêm   Piperacillin sodium / tazobactam 0,5/0,0625 mg/ml
37°C
10 Giờ
Không rõ 4180
Cấp độ bằng chứng B
Nhựa polyvinyl chloride Dianéal® PD1 1,5% glucose (Baxter) 0,5 UI/ml
Dạng tiêm   Heparin sodium   
Dạng tiêm   Meropenem 0,5 mg/ml
37°C
10 Giờ
Không rõ 4180
Cấp độ bằng chứng B
Nhựa polyvinyl chloride Dianéal® PD1 1,5% glucose (Baxter) 0,5 UI/ml
Dạng tiêm   Heparin sodium   
Dạng tiêm   Piperacillin sodium / tazobactam 0,5/0,0625 mg/ml
4°C
168 Giờ
Không rõ 4180
Cấp độ bằng chứng B
Nhựa polyvinyl chloride Dianéal® PD1 1,5% glucose (Baxter) 0,5 UI/ml
Dạng tiêm   Heparin sodium   
Dạng tiêm   Meropenem 0,5 mg/ml
4°C
168 Giờ
Không rõ 4180
Cấp độ bằng chứng B
Nhựa polyvinyl chloride Dianéal® PD2 4,25% glucose (Baxter) 0,5 UI/ml
Dạng tiêm   Heparin sodium   
Dạng tiêm   Piperacillin sodium / tazobactam 0,5/0,0625 mg/ml
37°C
10 Giờ
Không rõ 4180
Cấp độ bằng chứng B
Nhựa polyvinyl chloride Dianéal® PD2 4,25% glucose (Baxter) 0,5 UI/ml
Dạng tiêm   Heparin sodium   
Dạng tiêm   Meropenem 0,5 mg/ml
37°C
10 Giờ
Không rõ 4180
Cấp độ bằng chứng B
Nhựa polyvinyl chloride Dianéal® PD2 4,25% glucose (Baxter) 0.5 UI/ml
Dạng tiêm   Heparin sodium   
Dạng tiêm   Ceftazidime 0.125 mg/ml
37°C
12 Giờ
Không rõ 4056
Cấp độ bằng chứng B+
Nhựa polyvinyl chloride Dianéal® PD2 4,25% glucose (Baxter) 0.5 UI/ml
Dạng tiêm   Heparin sodium   
Dạng tiêm   Ceftazidime 0.125 mg/ml
4°C
120 Giờ
Không rõ 4056
Cấp độ bằng chứng B+
Nhựa polyvinyl chloride Dianéal® PD2 4,25% glucose (Baxter) 0,5 UI/ml
Dạng tiêm   Heparin sodium   
Dạng tiêm   Piperacillin sodium / tazobactam 0,5/0,0625 mg/ml
4°C
168 Giờ
Không rõ 4180
Cấp độ bằng chứng B
Nhựa polyvinyl chloride Dianéal® PD2 4,25% glucose (Baxter) 0,5 UI/ml
Dạng tiêm   Heparin sodium   
Dạng tiêm   Meropenem 0,5 mg/ml
4°C
168 Giờ
Không rõ 4180
Cấp độ bằng chứng B
Nhựa polyvinyl chloride Dianéal® PD2 2,5% glucose (Baxter) 0,5 UI/ml
Dạng tiêm   Heparin sodium   
Dạng tiêm   Piperacillin sodium / tazobactam 0,5/0,0625 mg/ml
37°C
10 Giờ
Không rõ 4180
Cấp độ bằng chứng B
Nhựa polyvinyl chloride Dianéal® PD2 2,5% glucose (Baxter) 0,5 UI/ml
Dạng tiêm   Heparin sodium   
Dạng tiêm   Meropenem 0,5 mg/ml
37°C
10 Giờ
Không rõ 4180
Cấp độ bằng chứng B
Nhựa polyvinyl chloride Dianéal® PD2 2,5% glucose (Baxter) 0.5 UI/ml
Dạng tiêm   Heparin sodium   
Dạng tiêm   Ceftazidime 0.125 mg/ml
37°C
12 Giờ
Không rõ 4056
Cấp độ bằng chứng B+
Nhựa polyvinyl chloride Dianéal® PD2 2,5% glucose (Baxter) 0.5 UI/ml
Dạng tiêm   Heparin sodium   
Dạng tiêm   Ceftazidime 0.125 mg/ml
4°C
120 Giờ
Không rõ 4056
Cấp độ bằng chứng B+
Nhựa polyvinyl chloride Dianéal® PD2 2,5% glucose (Baxter) 0,5 UI/ml
Dạng tiêm   Heparin sodium   
Dạng tiêm   Piperacillin sodium / tazobactam 0,5/0,0625 mg/ml
4°C
168 Giờ
Không rõ 4180
Cấp độ bằng chứng B
Nhựa polyvinyl chloride Dianéal® PD2 2,5% glucose (Baxter) 0,5 UI/ml
Dạng tiêm   Heparin sodium   
Dạng tiêm   Meropenem 0,5 mg/ml
4°C
168 Giờ
Không rõ 4180
Cấp độ bằng chứng B
Nhựa polyvinyl chloride Extraneal® (Baxter) 0,5 UI/ml
Dạng tiêm   Heparin sodium   
Dạng tiêm   Piperacillin sodium / tazobactam 0,5/0,0625 mg/ml
37°C
10 Giờ
Không rõ 4180
Cấp độ bằng chứng B
Nhựa polyvinyl chloride Extraneal® (Baxter) 0,5 UI/ml
Dạng tiêm   Heparin sodium   
Dạng tiêm   Meropenem 0,5 mg/ml
37°C
10 Giờ
Không rõ 4180
Cấp độ bằng chứng B
Nhựa polyvinyl chloride Extraneal® (Baxter) 0.5 UI/ml
Dạng tiêm   Heparin sodium   
Dạng tiêm   Ceftazidime 0.125 mg/ml
37°C
12 Giờ
Không rõ 4056
Cấp độ bằng chứng B+
Nhựa polyvinyl chloride Extraneal® (Baxter) 0.5 UI/ml
Dạng tiêm   Heparin sodium   
Dạng tiêm   Ceftazidime 0.125 mg/ml
4°C
120 Giờ
Không rõ 4056
Cấp độ bằng chứng B+
Nhựa polyvinyl chloride Extraneal® (Baxter) 0,5 UI/ml
Dạng tiêm   Heparin sodium   
Dạng tiêm   Piperacillin sodium / tazobactam 0,5/0,0625 mg/ml
4°C
168 Giờ
Không rõ 4180
Cấp độ bằng chứng B
Nhựa polyvinyl chloride Extraneal® (Baxter) 0,5 UI/ml
Dạng tiêm   Heparin sodium   
Dạng tiêm   Meropenem 0,5 mg/ml
4°C
168 Giờ
Không rõ 4180
Cấp độ bằng chứng B
Nhựa polyvinyl chloride Physionéal® 1.36 (Baxter) 1,4 UI/ml
Dạng tiêm   Heparin sodium   
Dạng tiêm   Piperacillin sodium / tazobactam 1,38/0,172 mg/ml
37°C
10 Giờ
Không rõ 4180
Cấp độ bằng chứng B
Nhựa polyvinyl chloride Physionéal® 1.36 (Baxter) 1,4 UI/ml
Dạng tiêm   Heparin sodium   
Dạng tiêm   Piperacillin sodium / tazobactam 1,38/0,172 mg/ml
4°C
168 Giờ
Không rõ 4180
Cấp độ bằng chứng B
Nhựa polyvinyl chloride Physionéal® 2.27 (Baxter) 1,4 UI/ml
Dạng tiêm   Heparin sodium   
Dạng tiêm   Piperacillin sodium / tazobactam 1,38/0,172 mg/ml
37°C
10 Giờ
Không rõ 4180
Cấp độ bằng chứng B
Nhựa polyvinyl chloride Physionéal® 2.27 (Baxter) 1,4 UI/ml
Dạng tiêm   Heparin sodium   
Dạng tiêm   Piperacillin sodium / tazobactam 1,38/0,172 mg/ml
4°C
168 Giờ
Không rõ 4180
Cấp độ bằng chứng B
Nhựa polyvinyl chloride Physionéal® 3.86 (Baxter) 1,4 UI/ml
Dạng tiêm   Heparin sodium   
Dạng tiêm   Piperacillin sodium / tazobactam 1,38/0,172 mg/ml
37°C
10 Giờ
Không rõ 4180
Cấp độ bằng chứng B
Nhựa polyvinyl chloride Physionéal® 3.86 (Baxter) 1,4 UI/ml
Dạng tiêm   Heparin sodium   
Dạng tiêm   Piperacillin sodium / tazobactam 1,38/0,172 mg/ml
4°C
168 Giờ
Không rõ 4180
Cấp độ bằng chứng B
Nhựa polypropylen NaCl 0,9% 5000 UI/ml
Dạng tiêm   Heparin sodium   
Dạng tiêm   Vancomycin hydrochloride 0,1 mg/ml
4°C
28 Ngày
Không rõ 3956
Phương pháp sinh học
Nhựa polypropylen NaCl 0,9% 5000 UI/ml
Dạng tiêm   Heparin sodium   
Dạng tiêm   Gentamicin sulfate 0,1 mg/ml
4°C
28 Ngày
Không rõ 3956
Phương pháp sinh học
ống tiêm polypropylene NaCl 0,9% 100 UI/ml
Dạng tiêm   Heparin sodium   
Dạng tiêm   Vancomycin hydrochloride 0,025 mg/ml
4°C
14 Ngày
Tránh ánh sáng 895
Phương pháp sinh học
ống tiêm polypropylene Dung dịch Ringer’s lactate 100 UI/ml
Dạng tiêm   Heparin sodium   
Dạng tiêm   Daptomycin 5 mg/ml
-20°C
14 Ngày
Tránh ánh sáng 3665
Cấp độ bằng chứng B
ống tiêm polypropylene Dung dịch Ringer’s lactate 100 UI/ml
Dạng tiêm   Heparin sodium   
Dạng tiêm   Daptomycin 5 mg/ml
4°C
14 Ngày
Không rõ 3665
Cấp độ bằng chứng B
ống tiêm polypropylene Không 960 UI/ml
Dạng tiêm   Heparin sodium   
Dạng tiêm   Fluorouracil 24 mg/ml
37°C
7 Ngày
Không rõ 163
Cấp độ bằng chứng B
ống tiêm polypropylene Không 960 UI/ml
Dạng tiêm   Heparin sodium   
Dạng tiêm   Fluorouracil 24 mg/ml
4°C
14 Ngày
Tránh ánh sáng 163
Cấp độ bằng chứng B
Không rõ NaCl 0,9% 5000 UI/ml
Dạng tiêm   Heparin sodium   
Dạng tiêm   Daptomycin 19,6 mg/ml
22°C-28°C
2 Giờ
Không rõ 1937
Cấp độ bằng chứng C+

  Mentions Légales