Son güncelleme :
27/01/2026
Antikoagülan   Heparin sodium  
Enjeksiyon
Çözeltilerin stabilitesi Karışımlardaki stabilitesi Stabiliteyi etkileyen faktörler Uyumluluk Uygulama yöntemi Kaynaklar pdf
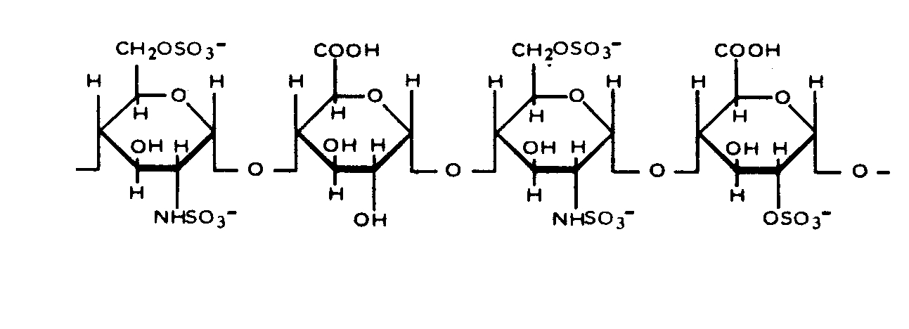
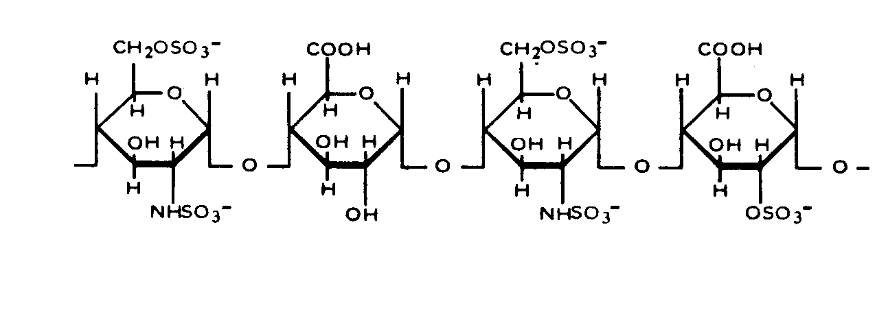
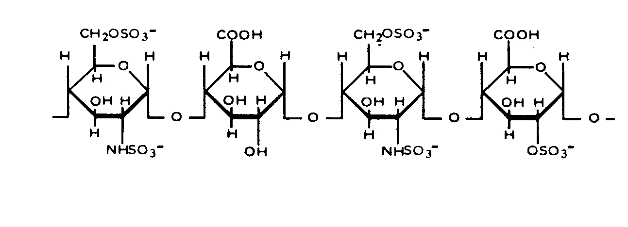
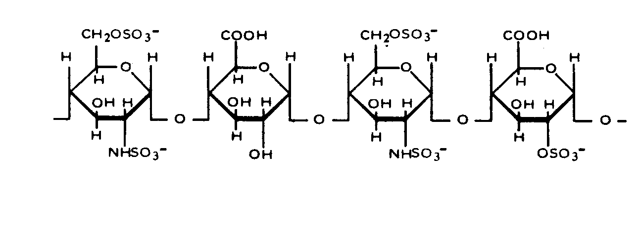
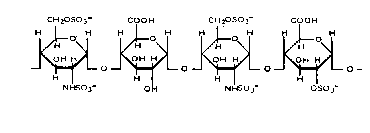
   Kimyasal yapı   

Ticari isim   Ticari isim     

Trade names are indicative and excipients composition can be different depending on the country and manufacturers

Arapin Şili
Ateroclar İtalya
Clarisco İtalya
Epsoclar İtalya
Hepaflex Finlandiya, Norveç
Hepamax Ekvador, Kolombiya, Şili
Heparin Amerika Birleşik Devletleri, Avusturya, Büyük Britanya, Danimarka, Finlandiya, Güney Afrika Cumhuriyeti, Hollanda, İsveç, İsviçre, Kanada, Macaristan, Norveç, rusça, Tayland, Türkiye, Yugoslavya, Yunanistan
Heparine Belçika, Fransa
Heparinised Avustralya
Heparstad Almanya
Liquemin İsviçre, Türkiye
Liquemine Brezilya
Monoparin Suudi Arabistan
Normoparin İtalya
Nuparin Ekvador
Pharepa İtalya
Riveparin Arjantin
Sobrius Arjantin, Ekvador
Thrombophob Almanya
Karışımlardaki stabilitesi   Enjeksiyon    Karışımlardaki stabilitesi : Heparin sodium     
Saklama kabı Çözücü Konsantrasyon Bileşik Isı Saklama    Stabilite süresi Kaynaklar
Cam Sodyum klorür % 0,9 9,75 UI/ml
Enjeksiyon   Heparin sodium   
Enjeksiyon   Vancomycin hydrochloride 0,025 mg/ml
23°C
85 Gün
Belirtilmemiş 3958
biyolojik analiz
Cam Sodyum klorür % 0,9 50 UI/ml
Enjeksiyon   Heparin sodium   
Enjeksiyon   Magnesium sulfate 15,6 mg/ml
25°C
14 Gün
I_ık 2100
biyolojik analiz
Cam Sodyum klorür % 0,9 2500 UI/ml
Enjeksiyon   Heparin sodium   
Enjeksiyon   Telavancin hydrochloride 2 & 5 mg/ml
Enjeksiyon   Sodium citrate 22 & 40 mg/ml
37°C
72 Zaman
Işıktan koruyunuz 3327
Kanıt düzeyi D
Cam Sodyum klorür % 0,9 2500 UI/ml
Enjeksiyon   Heparin sodium   
Enjeksiyon   Vancomycin hydrochloride 2 & 5 mg/ml
Enjeksiyon   Sodium citrate 22 & 40 mg/ml
37°C
72 Zaman
Işıktan koruyunuz 3327
Kanıt düzeyi D
Cam Sodyum klorür % 0,9 100 UI/ml
Enjeksiyon   Heparin sodium   
Enjeksiyon   Vancomycin hydrochloride 0,025 mg/ml
4°C
63 Gün
Işıktan koruyunuz 1414
biyolojik analiz
Cam Sodyum klorür % 0,9 9,75 UI/ml
Enjeksiyon   Heparin sodium   
Enjeksiyon   Vancomycin hydrochloride 0,025 mg/ml
4°C
85 Gün
Belirtilmemiş 3958
biyolojik analiz
Cam Glukoz %5 59 UI/ml
Enjeksiyon   Heparin sodium   
Enjeksiyon   Milrinone lactate 0,2 mg/ml
22°C-23°C
4 Zaman
I_ık 813
Kanıt düzeyi A
Cam Glukoz %5 20 UI/ml
Enjeksiyon   Heparin sodium   
Enjeksiyon   Dopamine hydrochloride 0,8 mg/ml
23°C-25°C
24 Zaman
I_ık 738
Joker
Cam Glukoz %5 50 UI/ml
Enjeksiyon   Heparin sodium   
Enjeksiyon   Palonosetron hydrochloride 25 µg/ml
25°C
4 Zaman
I_ık 2279
Kanıt düzeyi A+
Cam Glukoz %5 100 UI/ml
Enjeksiyon   Heparin sodium   
Enjeksiyon   Fluconazole 1 mg/ml
25°C
24 Zaman
I_ık 257
Kanıt düzeyi D
Polivinil klorür Sodyum klorür % 0,9 20 & 50 UI/ml
Enjeksiyon   Heparin sodium   
Enjeksiyon   Tirofiban 25 µg/ml
25°C
4 Zaman
I_ık 1420
Kanıt düzeyi C+
Polivinil klorür Glukoz %5 50 UI/ml
Enjeksiyon   Heparin sodium   
Enjeksiyon   Flumazenil 0,02 mg/ml
23°C
24 Zaman
I_ık 187
Kanıt düzeyi A
Polivinil klorür Glukoz %5 20 & 50 UI/ml
Enjeksiyon   Heparin sodium   
Enjeksiyon   Tirofiban 25 µg/ml
25°C
4 Zaman
I_ık 1420
Kanıt düzeyi C+
Polivinil klorür Dianéal® PD1 1.5% Glukoz (Baxter) 0,5 UI/ml
Enjeksiyon   Heparin sodium   
Enjeksiyon   Piperacillin sodium / tazobactam 0,5/0,0625 mg/ml
37°C
10 Zaman
Belirtilmemiş 4180
Kanıt düzeyi B
Polivinil klorür Dianéal® PD1 1.5% Glukoz (Baxter) 0,5 UI/ml
Enjeksiyon   Heparin sodium   
Enjeksiyon   Meropenem 0,5 mg/ml
37°C
10 Zaman
Belirtilmemiş 4180
Kanıt düzeyi B
Polivinil klorür Dianéal® PD1 1.5% Glukoz (Baxter) 0,5 UI/ml
Enjeksiyon   Heparin sodium   
Enjeksiyon   Piperacillin sodium / tazobactam 0,5/0,0625 mg/ml
4°C
168 Zaman
Belirtilmemiş 4180
Kanıt düzeyi B
Polivinil klorür Dianéal® PD1 1.5% Glukoz (Baxter) 0,5 UI/ml
Enjeksiyon   Heparin sodium   
Enjeksiyon   Meropenem 0,5 mg/ml
4°C
168 Zaman
Belirtilmemiş 4180
Kanıt düzeyi B
Polivinil klorür Dianéal® PD2 4.25% Glukoz (Baxter) 0,5 UI/ml
Enjeksiyon   Heparin sodium   
Enjeksiyon   Piperacillin sodium / tazobactam 0,5/0,0625 mg/ml
37°C
10 Zaman
Belirtilmemiş 4180
Kanıt düzeyi B
Polivinil klorür Dianéal® PD2 4.25% Glukoz (Baxter) 0,5 UI/ml
Enjeksiyon   Heparin sodium   
Enjeksiyon   Meropenem 0,5 mg/ml
37°C
10 Zaman
Belirtilmemiş 4180
Kanıt düzeyi B
Polivinil klorür Dianéal® PD2 4.25% Glukoz (Baxter) 0.5 UI/ml
Enjeksiyon   Heparin sodium   
Enjeksiyon   Ceftazidime 0.125 mg/ml
37°C
12 Zaman
Belirtilmemiş 4056
Kanıt düzeyi B+
Polivinil klorür Dianéal® PD2 4.25% Glukoz (Baxter) 0.5 UI/ml
Enjeksiyon   Heparin sodium   
Enjeksiyon   Ceftazidime 0.125 mg/ml
4°C
120 Zaman
Belirtilmemiş 4056
Kanıt düzeyi B+
Polivinil klorür Dianéal® PD2 4.25% Glukoz (Baxter) 0,5 UI/ml
Enjeksiyon   Heparin sodium   
Enjeksiyon   Piperacillin sodium / tazobactam 0,5/0,0625 mg/ml
4°C
168 Zaman
Belirtilmemiş 4180
Kanıt düzeyi B
Polivinil klorür Dianéal® PD2 4.25% Glukoz (Baxter) 0,5 UI/ml
Enjeksiyon   Heparin sodium   
Enjeksiyon   Meropenem 0,5 mg/ml
4°C
168 Zaman
Belirtilmemiş 4180
Kanıt düzeyi B
Polivinil klorür Dianéal® PD2 2.5% glucose (Baxter) 0,5 UI/ml
Enjeksiyon   Heparin sodium   
Enjeksiyon   Piperacillin sodium / tazobactam 0,5/0,0625 mg/ml
37°C
10 Zaman
Belirtilmemiş 4180
Kanıt düzeyi B
Polivinil klorür Dianéal® PD2 2.5% glucose (Baxter) 0,5 UI/ml
Enjeksiyon   Heparin sodium   
Enjeksiyon   Meropenem 0,5 mg/ml
37°C
10 Zaman
Belirtilmemiş 4180
Kanıt düzeyi B
Polivinil klorür Dianéal® PD2 2.5% glucose (Baxter) 0.5 UI/ml
Enjeksiyon   Heparin sodium   
Enjeksiyon   Ceftazidime 0.125 mg/ml
37°C
12 Zaman
Belirtilmemiş 4056
Kanıt düzeyi B+
Polivinil klorür Dianéal® PD2 2.5% glucose (Baxter) 0.5 UI/ml
Enjeksiyon   Heparin sodium   
Enjeksiyon   Ceftazidime 0.125 mg/ml
4°C
120 Zaman
Belirtilmemiş 4056
Kanıt düzeyi B+
Polivinil klorür Dianéal® PD2 2.5% glucose (Baxter) 0,5 UI/ml
Enjeksiyon   Heparin sodium   
Enjeksiyon   Piperacillin sodium / tazobactam 0,5/0,0625 mg/ml
4°C
168 Zaman
Belirtilmemiş 4180
Kanıt düzeyi B
Polivinil klorür Dianéal® PD2 2.5% glucose (Baxter) 0,5 UI/ml
Enjeksiyon   Heparin sodium   
Enjeksiyon   Meropenem 0,5 mg/ml
4°C
168 Zaman
Belirtilmemiş 4180
Kanıt düzeyi B
Polivinil klorür Extraneal® (Baxter) 0,5 UI/ml
Enjeksiyon   Heparin sodium   
Enjeksiyon   Piperacillin sodium / tazobactam 0,5/0,0625 mg/ml
37°C
10 Zaman
Belirtilmemiş 4180
Kanıt düzeyi B
Polivinil klorür Extraneal® (Baxter) 0,5 UI/ml
Enjeksiyon   Heparin sodium   
Enjeksiyon   Meropenem 0,5 mg/ml
37°C
10 Zaman
Belirtilmemiş 4180
Kanıt düzeyi B
Polivinil klorür Extraneal® (Baxter) 0.5 UI/ml
Enjeksiyon   Heparin sodium   
Enjeksiyon   Ceftazidime 0.125 mg/ml
37°C
12 Zaman
Belirtilmemiş 4056
Kanıt düzeyi B+
Polivinil klorür Extraneal® (Baxter) 0.5 UI/ml
Enjeksiyon   Heparin sodium   
Enjeksiyon   Ceftazidime 0.125 mg/ml
4°C
120 Zaman
Belirtilmemiş 4056
Kanıt düzeyi B+
Polivinil klorür Extraneal® (Baxter) 0,5 UI/ml
Enjeksiyon   Heparin sodium   
Enjeksiyon   Piperacillin sodium / tazobactam 0,5/0,0625 mg/ml
4°C
168 Zaman
Belirtilmemiş 4180
Kanıt düzeyi B
Polivinil klorür Extraneal® (Baxter) 0,5 UI/ml
Enjeksiyon   Heparin sodium   
Enjeksiyon   Meropenem 0,5 mg/ml
4°C
168 Zaman
Belirtilmemiş 4180
Kanıt düzeyi B
Polivinil klorür Physionéal® 1.36 (Baxter) 1,4 UI/ml
Enjeksiyon   Heparin sodium   
Enjeksiyon   Piperacillin sodium / tazobactam 1,38/0,172 mg/ml
37°C
10 Zaman
Belirtilmemiş 4180
Kanıt düzeyi B
Polivinil klorür Physionéal® 1.36 (Baxter) 1,4 UI/ml
Enjeksiyon   Heparin sodium   
Enjeksiyon   Piperacillin sodium / tazobactam 1,38/0,172 mg/ml
4°C
168 Zaman
Belirtilmemiş 4180
Kanıt düzeyi B
Polivinil klorür Physionéal® 2.27 (Baxter) 1,4 UI/ml
Enjeksiyon   Heparin sodium   
Enjeksiyon   Piperacillin sodium / tazobactam 1,38/0,172 mg/ml
37°C
10 Zaman
Belirtilmemiş 4180
Kanıt düzeyi B
Polivinil klorür Physionéal® 2.27 (Baxter) 1,4 UI/ml
Enjeksiyon   Heparin sodium   
Enjeksiyon   Piperacillin sodium / tazobactam 1,38/0,172 mg/ml
4°C
168 Zaman
Belirtilmemiş 4180
Kanıt düzeyi B
Polivinil klorür Physionéal® 3.86 (Baxter) 1,4 UI/ml
Enjeksiyon   Heparin sodium   
Enjeksiyon   Piperacillin sodium / tazobactam 1,38/0,172 mg/ml
37°C
10 Zaman
Belirtilmemiş 4180
Kanıt düzeyi B
Polivinil klorür Physionéal® 3.86 (Baxter) 1,4 UI/ml
Enjeksiyon   Heparin sodium   
Enjeksiyon   Piperacillin sodium / tazobactam 1,38/0,172 mg/ml
4°C
168 Zaman
Belirtilmemiş 4180
Kanıt düzeyi B
Polipropilen Sodyum klorür % 0,9 5000 UI/ml
Enjeksiyon   Heparin sodium   
Enjeksiyon   Vancomycin hydrochloride 0,1 mg/ml
4°C
28 Gün
Belirtilmemiş 3956
biyolojik analiz
Polipropilen Sodyum klorür % 0,9 5000 UI/ml
Enjeksiyon   Heparin sodium   
Enjeksiyon   Gentamicin sulfate 0,1 mg/ml
4°C
28 Gün
Belirtilmemiş 3956
biyolojik analiz
Şırınga polipropilen Sodyum klorür % 0,9 100 UI/ml
Enjeksiyon   Heparin sodium   
Enjeksiyon   Vancomycin hydrochloride 0,025 mg/ml
4°C
14 Gün
Işıktan koruyunuz 895
biyolojik analiz
Şırınga polipropilen Laktatlı ringer 100 UI/ml
Enjeksiyon   Heparin sodium   
Enjeksiyon   Daptomycin 5 mg/ml
-20°C
14 Gün
Işıktan koruyunuz 3665
Kanıt düzeyi B
Şırınga polipropilen Laktatlı ringer 100 UI/ml
Enjeksiyon   Heparin sodium   
Enjeksiyon   Daptomycin 5 mg/ml
4°C
14 Gün
Belirtilmemiş 3665
Kanıt düzeyi B
Şırınga polipropilen Yok 960 UI/ml
Enjeksiyon   Heparin sodium   
Enjeksiyon   Fluorouracil 24 mg/ml
37°C
7 Gün
Belirtilmemiş 163
Kanıt düzeyi B
Şırınga polipropilen Yok 960 UI/ml
Enjeksiyon   Heparin sodium   
Enjeksiyon   Fluorouracil 24 mg/ml
4°C
14 Gün
Işıktan koruyunuz 163
Kanıt düzeyi B
Belirtilmemiş Sodyum klorür % 0,9 5000 UI/ml
Enjeksiyon   Heparin sodium   
Enjeksiyon   Daptomycin 19,6 mg/ml
22°C-28°C
2 Zaman
Belirtilmemiş 1937
Kanıt düzeyi C+

  Mentions Légales