Viimeisin päivitys :
27/01/2026
Antikoagulantit   Heparin sodium  
Injektioneste
Stabilius liuoksessa Stabilius seoksissa Tekijät, jotka vaikuttavat stabiliuteen Yhteensopivuus Antotapa Viitteet pdf
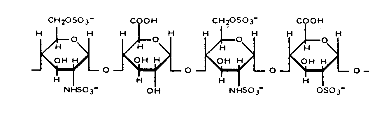
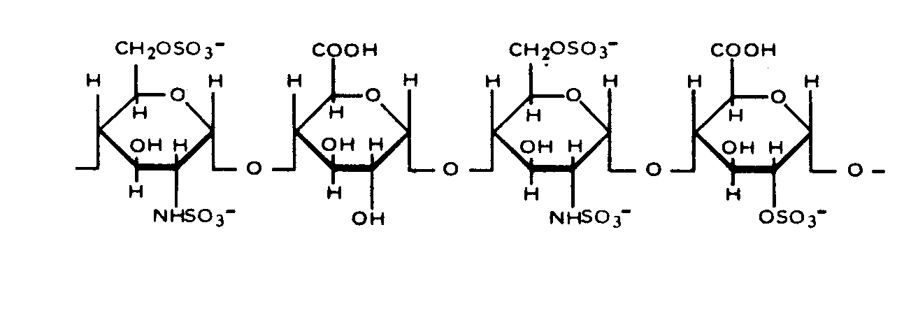
   Kemiallinen rakenne  

Kauppanimi   Kauppanimi     

Trade names are indicative and excipients composition can be different depending on the country and manufacturers

Arapin Chile
Ateroclar Italia
Clarisco Italia
Epsoclar Italia
Hepaflex Norja, Suomi
Hepamax Chile, Ecuador, Kolumbia
Heparin Etelä-Afrikka, Hollanti, Iso-Britannia, Itävalta, Jugoslavia, Kanada, Kreikka, Norja, Ruotsi, Suomi, Sveitsi, Tanska, Thaimaa, Turkki, Unkari, venäjä, Yhdysvallat
Heparine Belgia, Ranska
Heparinised Australia
Heparstad Saksa
Liquemin Sveitsi, Turkki
Liquemine Brasilia
Monoparin Saudi-Arabia
Normoparin Italia
Nuparin Ecuador
Pharepa Italia
Riveparin Argentiina
Sobrius Argentiina, Ecuador
Thrombophob Saksa
Stabilius seoksissa   Injektioneste   Stabilius seoksissa : Heparin sodium     
Astia Liuotin Konsentraatio Yhdiste Lämpötila Säilytys Vakauden kesto Viitteet
Lasi Natriumkloridi 0,9% 9,75 UI/ml
Injektioneste   Heparin sodium   
Injektioneste   Vancomycin hydrochloride 0,025 mg/ml
23°C
85 Päivä
Ei määritetty 3958
Biologinen menetelmä
Lasi Natriumkloridi 0,9% 50 UI/ml
Injektioneste   Heparin sodium   
Injektioneste   Magnesium sulfate 15,6 mg/ml
25°C
14 Päivä
Valo 2100
Biologinen menetelmä
Lasi Natriumkloridi 0,9% 2500 UI/ml
Injektioneste   Heparin sodium   
Injektioneste   Telavancin hydrochloride 2 & 5 mg/ml
Injektioneste   Sodium citrate 22 & 40 mg/ml
37°C
72 tunti
Suojattava valolta 3327
Näytön laajuus D
Lasi Natriumkloridi 0,9% 2500 UI/ml
Injektioneste   Heparin sodium   
Injektioneste   Vancomycin hydrochloride 2 & 5 mg/ml
Injektioneste   Sodium citrate 22 & 40 mg/ml
37°C
72 tunti
Suojattava valolta 3327
Näytön laajuus D
Lasi Natriumkloridi 0,9% 100 UI/ml
Injektioneste   Heparin sodium   
Injektioneste   Vancomycin hydrochloride 0,025 mg/ml
4°C
63 Päivä
Suojattava valolta 1414
Biologinen menetelmä
Lasi Natriumkloridi 0,9% 9,75 UI/ml
Injektioneste   Heparin sodium   
Injektioneste   Vancomycin hydrochloride 0,025 mg/ml
4°C
85 Päivä
Ei määritetty 3958
Biologinen menetelmä
Lasi Glukoosi 5% 59 UI/ml
Injektioneste   Heparin sodium   
Injektioneste   Milrinone lactate 0,2 mg/ml
22°C-23°C
4 tunti
Valo 813
Näytön laajuus A
Lasi Glukoosi 5% 20 UI/ml
Injektioneste   Heparin sodium   
Injektioneste   Dopamine hydrochloride 0,8 mg/ml
23°C-25°C
24 tunti
Valo 738
Jokeri
Lasi Glukoosi 5% 50 UI/ml
Injektioneste   Heparin sodium   
Injektioneste   Palonosetron hydrochloride 25 µg/ml
25°C
4 tunti
Valo 2279
Näytön laajuus A+
Lasi Glukoosi 5% 100 UI/ml
Injektioneste   Heparin sodium   
Injektioneste   Fluconazole 1 mg/ml
25°C
24 tunti
Valo 257
Näytön laajuus D
Polyvinyylikloridi Natriumkloridi 0,9% 20 & 50 UI/ml
Injektioneste   Heparin sodium   
Injektioneste   Tirofiban 25 µg/ml
25°C
4 tunti
Valo 1420
Näytön laajuus C+
Polyvinyylikloridi Glukoosi 5% 50 UI/ml
Injektioneste   Heparin sodium   
Injektioneste   Flumazenil 0,02 mg/ml
23°C
24 tunti
Valo 187
Näytön laajuus A
Polyvinyylikloridi Glukoosi 5% 20 & 50 UI/ml
Injektioneste   Heparin sodium   
Injektioneste   Tirofiban 25 µg/ml
25°C
4 tunti
Valo 1420
Näytön laajuus C+
Polyvinyylikloridi Dianéal® PD1 1.5% Glukoosi (Baxter) 0,5 UI/ml
Injektioneste   Heparin sodium   
Injektioneste   Piperacillin sodium / tazobactam 0,5/0,0625 mg/ml
37°C
10 tunti
Ei määritetty 4180
Näytön laajuus B
Polyvinyylikloridi Dianéal® PD1 1.5% Glukoosi (Baxter) 0,5 UI/ml
Injektioneste   Heparin sodium   
Injektioneste   Meropenem 0,5 mg/ml
37°C
10 tunti
Ei määritetty 4180
Näytön laajuus B
Polyvinyylikloridi Dianéal® PD1 1.5% Glukoosi (Baxter) 0,5 UI/ml
Injektioneste   Heparin sodium   
Injektioneste   Piperacillin sodium / tazobactam 0,5/0,0625 mg/ml
4°C
168 tunti
Ei määritetty 4180
Näytön laajuus B
Polyvinyylikloridi Dianéal® PD1 1.5% Glukoosi (Baxter) 0,5 UI/ml
Injektioneste   Heparin sodium   
Injektioneste   Meropenem 0,5 mg/ml
4°C
168 tunti
Ei määritetty 4180
Näytön laajuus B
Polyvinyylikloridi Dianéal® PD2 4.25% Glukoosi (Baxter) 0,5 UI/ml
Injektioneste   Heparin sodium   
Injektioneste   Piperacillin sodium / tazobactam 0,5/0,0625 mg/ml
37°C
10 tunti
Ei määritetty 4180
Näytön laajuus B
Polyvinyylikloridi Dianéal® PD2 4.25% Glukoosi (Baxter) 0,5 UI/ml
Injektioneste   Heparin sodium   
Injektioneste   Meropenem 0,5 mg/ml
37°C
10 tunti
Ei määritetty 4180
Näytön laajuus B
Polyvinyylikloridi Dianéal® PD2 4.25% Glukoosi (Baxter) 0.5 UI/ml
Injektioneste   Heparin sodium   
Injektioneste   Ceftazidime 0.125 mg/ml
37°C
12 tunti
Ei määritetty 4056
Näytön laajuus B+
Polyvinyylikloridi Dianéal® PD2 4.25% Glukoosi (Baxter) 0.5 UI/ml
Injektioneste   Heparin sodium   
Injektioneste   Ceftazidime 0.125 mg/ml
4°C
120 tunti
Ei määritetty 4056
Näytön laajuus B+
Polyvinyylikloridi Dianéal® PD2 4.25% Glukoosi (Baxter) 0,5 UI/ml
Injektioneste   Heparin sodium   
Injektioneste   Piperacillin sodium / tazobactam 0,5/0,0625 mg/ml
4°C
168 tunti
Ei määritetty 4180
Näytön laajuus B
Polyvinyylikloridi Dianéal® PD2 4.25% Glukoosi (Baxter) 0,5 UI/ml
Injektioneste   Heparin sodium   
Injektioneste   Meropenem 0,5 mg/ml
4°C
168 tunti
Ei määritetty 4180
Näytön laajuus B
Polyvinyylikloridi Dianéal® PD2 2.5% glucose (Baxter) 0,5 UI/ml
Injektioneste   Heparin sodium   
Injektioneste   Piperacillin sodium / tazobactam 0,5/0,0625 mg/ml
37°C
10 tunti
Ei määritetty 4180
Näytön laajuus B
Polyvinyylikloridi Dianéal® PD2 2.5% glucose (Baxter) 0,5 UI/ml
Injektioneste   Heparin sodium   
Injektioneste   Meropenem 0,5 mg/ml
37°C
10 tunti
Ei määritetty 4180
Näytön laajuus B
Polyvinyylikloridi Dianéal® PD2 2.5% glucose (Baxter) 0.5 UI/ml
Injektioneste   Heparin sodium   
Injektioneste   Ceftazidime 0.125 mg/ml
37°C
12 tunti
Ei määritetty 4056
Näytön laajuus B+
Polyvinyylikloridi Dianéal® PD2 2.5% glucose (Baxter) 0.5 UI/ml
Injektioneste   Heparin sodium   
Injektioneste   Ceftazidime 0.125 mg/ml
4°C
120 tunti
Ei määritetty 4056
Näytön laajuus B+
Polyvinyylikloridi Dianéal® PD2 2.5% glucose (Baxter) 0,5 UI/ml
Injektioneste   Heparin sodium   
Injektioneste   Piperacillin sodium / tazobactam 0,5/0,0625 mg/ml
4°C
168 tunti
Ei määritetty 4180
Näytön laajuus B
Polyvinyylikloridi Dianéal® PD2 2.5% glucose (Baxter) 0,5 UI/ml
Injektioneste   Heparin sodium   
Injektioneste   Meropenem 0,5 mg/ml
4°C
168 tunti
Ei määritetty 4180
Näytön laajuus B
Polyvinyylikloridi Extraneal® (Baxter) 0,5 UI/ml
Injektioneste   Heparin sodium   
Injektioneste   Piperacillin sodium / tazobactam 0,5/0,0625 mg/ml
37°C
10 tunti
Ei määritetty 4180
Näytön laajuus B
Polyvinyylikloridi Extraneal® (Baxter) 0,5 UI/ml
Injektioneste   Heparin sodium   
Injektioneste   Meropenem 0,5 mg/ml
37°C
10 tunti
Ei määritetty 4180
Näytön laajuus B
Polyvinyylikloridi Extraneal® (Baxter) 0.5 UI/ml
Injektioneste   Heparin sodium   
Injektioneste   Ceftazidime 0.125 mg/ml
37°C
12 tunti
Ei määritetty 4056
Näytön laajuus B+
Polyvinyylikloridi Extraneal® (Baxter) 0.5 UI/ml
Injektioneste   Heparin sodium   
Injektioneste   Ceftazidime 0.125 mg/ml
4°C
120 tunti
Ei määritetty 4056
Näytön laajuus B+
Polyvinyylikloridi Extraneal® (Baxter) 0,5 UI/ml
Injektioneste   Heparin sodium   
Injektioneste   Piperacillin sodium / tazobactam 0,5/0,0625 mg/ml
4°C
168 tunti
Ei määritetty 4180
Näytön laajuus B
Polyvinyylikloridi Extraneal® (Baxter) 0,5 UI/ml
Injektioneste   Heparin sodium   
Injektioneste   Meropenem 0,5 mg/ml
4°C
168 tunti
Ei määritetty 4180
Näytön laajuus B
Polyvinyylikloridi Physionéal® 1.36 (Baxter) 1,4 UI/ml
Injektioneste   Heparin sodium   
Injektioneste   Piperacillin sodium / tazobactam 1,38/0,172 mg/ml
37°C
10 tunti
Ei määritetty 4180
Näytön laajuus B
Polyvinyylikloridi Physionéal® 1.36 (Baxter) 1,4 UI/ml
Injektioneste   Heparin sodium   
Injektioneste   Piperacillin sodium / tazobactam 1,38/0,172 mg/ml
4°C
168 tunti
Ei määritetty 4180
Näytön laajuus B
Polyvinyylikloridi Physionéal® 2.27 (Baxter) 1,4 UI/ml
Injektioneste   Heparin sodium   
Injektioneste   Piperacillin sodium / tazobactam 1,38/0,172 mg/ml
37°C
10 tunti
Ei määritetty 4180
Näytön laajuus B
Polyvinyylikloridi Physionéal® 2.27 (Baxter) 1,4 UI/ml
Injektioneste   Heparin sodium   
Injektioneste   Piperacillin sodium / tazobactam 1,38/0,172 mg/ml
4°C
168 tunti
Ei määritetty 4180
Näytön laajuus B
Polyvinyylikloridi Physionéal® 3.86 (Baxter) 1,4 UI/ml
Injektioneste   Heparin sodium   
Injektioneste   Piperacillin sodium / tazobactam 1,38/0,172 mg/ml
37°C
10 tunti
Ei määritetty 4180
Näytön laajuus B
Polyvinyylikloridi Physionéal® 3.86 (Baxter) 1,4 UI/ml
Injektioneste   Heparin sodium   
Injektioneste   Piperacillin sodium / tazobactam 1,38/0,172 mg/ml
4°C
168 tunti
Ei määritetty 4180
Näytön laajuus B
Polypropyleeni Natriumkloridi 0,9% 5000 UI/ml
Injektioneste   Heparin sodium   
Injektioneste   Vancomycin hydrochloride 0,1 mg/ml
4°C
28 Päivä
Ei määritetty 3956
Biologinen menetelmä
Polypropyleeni Natriumkloridi 0,9% 5000 UI/ml
Injektioneste   Heparin sodium   
Injektioneste   Gentamicin sulfate 0,1 mg/ml
4°C
28 Päivä
Ei määritetty 3956
Biologinen menetelmä
Ruisku  polypropeeni Natriumkloridi 0,9% 100 UI/ml
Injektioneste   Heparin sodium   
Injektioneste   Vancomycin hydrochloride 0,025 mg/ml
4°C
14 Päivä
Suojattava valolta 895
Biologinen menetelmä
Ruisku  polypropeeni Ringerlaktaattiliuos 100 UI/ml
Injektioneste   Heparin sodium   
Injektioneste   Daptomycin 5 mg/ml
-20°C
14 Päivä
Suojattava valolta 3665
Näytön laajuus B
Ruisku  polypropeeni Ringerlaktaattiliuos 100 UI/ml
Injektioneste   Heparin sodium   
Injektioneste   Daptomycin 5 mg/ml
4°C
14 Päivä
Ei määritetty 3665
Näytön laajuus B
Ruisku  polypropeeni Ei mikään 960 UI/ml
Injektioneste   Heparin sodium   
Injektioneste   Fluorouracil 24 mg/ml
37°C
7 Päivä
Ei määritetty 163
Näytön laajuus B
Ruisku  polypropeeni Ei mikään 960 UI/ml
Injektioneste   Heparin sodium   
Injektioneste   Fluorouracil 24 mg/ml
4°C
14 Päivä
Suojattava valolta 163
Näytön laajuus B
Ei määritetty Natriumkloridi 0,9% 5000 UI/ml
Injektioneste   Heparin sodium   
Injektioneste   Daptomycin 19,6 mg/ml
22°C-28°C
2 tunti
Ei määritetty 1937
Näytön laajuus C+

  Mentions Légales