Poslední aktualizace :
27/01/2026
Antikoagulans   Heparin sodium  
injekce
Stabilita roztoků Stabilita směsí Faktory ovlivňující stabilitu Kompatibilita Způsoby aplikace Odkazy pdf
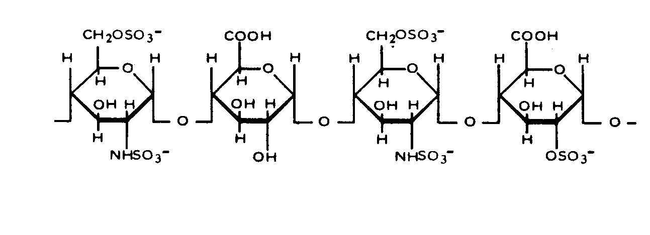
   Chemický vzorec  

Obchodní název   Obchodní název     

Trade names are indicative and excipients composition can be different depending on the country and manufacturers

Arapin Chile
Ateroclar Itálie
Clarisco Itálie
Epsoclar Itálie
Hepaflex Finsko, Norsko
Hepamax Chile, Ekvádor, Kolumbie
Heparin Dánsko, Finsko, Jihoafrická republika, Jugoslávie, Kanada, MaÔarsko, Nizozemsko, Norsko, Rakousko, rusky, Švédsko, Švýcarsko, Thajsko, Turecko, USA, Velká Británie, ÿecko
Heparine Belgie, Francie
Heparinised Austrálie
Heparstad NÏmecko
Liquemin Švýcarsko, Turecko
Liquemine BrazÌlie
Monoparin Saúdská Arábie
Normoparin Itálie
Nuparin Ekvádor
Pharepa Itálie
Riveparin Argentina
Sobrius Argentina, Ekvádor
Thrombophob NÏmecko
Stabilita směsí   injekce   Stabilita směsí : Heparin sodium     
Obal RozpouötÏdlo Koncentrace SlouËenina Teplota Uchovávání Trvání stability Odkazy
Sklo Chlorid sodný 0,9% 9,75 UI/ml
injekce   Heparin sodium   
injekce   Vancomycin hydrochloride 0,025 mg/ml
23°C
85 Den
Nespecifikováno 3958
Biologická metoda
Sklo Chlorid sodný 0,9% 50 UI/ml
injekce   Heparin sodium   
injekce   Magnesium sulfate 15,6 mg/ml
25°C
14 Den
SvÏtlo 2100
Biologická metoda
Sklo Chlorid sodný 0,9% 2500 UI/ml
injekce   Heparin sodium   
injekce   Telavancin hydrochloride 2 & 5 mg/ml
injekce   Sodium citrate 22 & 40 mg/ml
37°C
72 Hodina
Chráněno před světlem 3327
Úroveň zkoušky D
Sklo Chlorid sodný 0,9% 2500 UI/ml
injekce   Heparin sodium   
injekce   Vancomycin hydrochloride 2 & 5 mg/ml
injekce   Sodium citrate 22 & 40 mg/ml
37°C
72 Hodina
Chráněno před světlem 3327
Úroveň zkoušky D
Sklo Chlorid sodný 0,9% 100 UI/ml
injekce   Heparin sodium   
injekce   Vancomycin hydrochloride 0,025 mg/ml
4°C
63 Den
Chráněno před světlem 1414
Biologická metoda
Sklo Chlorid sodný 0,9% 9,75 UI/ml
injekce   Heparin sodium   
injekce   Vancomycin hydrochloride 0,025 mg/ml
4°C
85 Den
Nespecifikováno 3958
Biologická metoda
Sklo GlukÛza 5% 59 UI/ml
injekce   Heparin sodium   
injekce   Milrinone lactate 0,2 mg/ml
22°C-23°C
4 Hodina
SvÏtlo 813
Úroveň zkoušky A
Sklo GlukÛza 5% 20 UI/ml
injekce   Heparin sodium   
injekce   Dopamine hydrochloride 0,8 mg/ml
23°C-25°C
24 Hodina
SvÏtlo 738
JOKER
Sklo GlukÛza 5% 50 UI/ml
injekce   Heparin sodium   
injekce   Palonosetron hydrochloride 25 µg/ml
25°C
4 Hodina
SvÏtlo 2279
Úroveň zkoušky A+
Sklo GlukÛza 5% 100 UI/ml
injekce   Heparin sodium   
injekce   Fluconazole 1 mg/ml
25°C
24 Hodina
SvÏtlo 257
Úroveň zkoušky D
Polyvinyl chlorid Chlorid sodný 0,9% 20 & 50 UI/ml
injekce   Heparin sodium   
injekce   Tirofiban 25 µg/ml
25°C
4 Hodina
SvÏtlo 1420
Úroveň zkoušky C+
Polyvinyl chlorid GlukÛza 5% 50 UI/ml
injekce   Heparin sodium   
injekce   Flumazenil 0,02 mg/ml
23°C
24 Hodina
SvÏtlo 187
Úroveň zkoušky A
Polyvinyl chlorid GlukÛza 5% 20 & 50 UI/ml
injekce   Heparin sodium   
injekce   Tirofiban 25 µg/ml
25°C
4 Hodina
SvÏtlo 1420
Úroveň zkoušky C+
Polyvinyl chlorid Dianéal® PD1 1.5% GlukÛza (Baxter) 0,5 UI/ml
injekce   Heparin sodium   
injekce   Piperacillin sodium / tazobactam 0,5/0,0625 mg/ml
37°C
10 Hodina
Nespecifikováno 4180
Úroveň zkoušky B
Polyvinyl chlorid Dianéal® PD1 1.5% GlukÛza (Baxter) 0,5 UI/ml
injekce   Heparin sodium   
injekce   Meropenem 0,5 mg/ml
37°C
10 Hodina
Nespecifikováno 4180
Úroveň zkoušky B
Polyvinyl chlorid Dianéal® PD1 1.5% GlukÛza (Baxter) 0,5 UI/ml
injekce   Heparin sodium   
injekce   Piperacillin sodium / tazobactam 0,5/0,0625 mg/ml
4°C
168 Hodina
Nespecifikováno 4180
Úroveň zkoušky B
Polyvinyl chlorid Dianéal® PD1 1.5% GlukÛza (Baxter) 0,5 UI/ml
injekce   Heparin sodium   
injekce   Meropenem 0,5 mg/ml
4°C
168 Hodina
Nespecifikováno 4180
Úroveň zkoušky B
Polyvinyl chlorid Dianéal® PD2 4.25% GlukÛza (Baxter) 0,5 UI/ml
injekce   Heparin sodium   
injekce   Piperacillin sodium / tazobactam 0,5/0,0625 mg/ml
37°C
10 Hodina
Nespecifikováno 4180
Úroveň zkoušky B
Polyvinyl chlorid Dianéal® PD2 4.25% GlukÛza (Baxter) 0,5 UI/ml
injekce   Heparin sodium   
injekce   Meropenem 0,5 mg/ml
37°C
10 Hodina
Nespecifikováno 4180
Úroveň zkoušky B
Polyvinyl chlorid Dianéal® PD2 4.25% GlukÛza (Baxter) 0.5 UI/ml
injekce   Heparin sodium   
injekce   Ceftazidime 0.125 mg/ml
37°C
12 Hodina
Nespecifikováno 4056
Úroveň zkoušky B+
Polyvinyl chlorid Dianéal® PD2 4.25% GlukÛza (Baxter) 0.5 UI/ml
injekce   Heparin sodium   
injekce   Ceftazidime 0.125 mg/ml
4°C
120 Hodina
Nespecifikováno 4056
Úroveň zkoušky B+
Polyvinyl chlorid Dianéal® PD2 4.25% GlukÛza (Baxter) 0,5 UI/ml
injekce   Heparin sodium   
injekce   Piperacillin sodium / tazobactam 0,5/0,0625 mg/ml
4°C
168 Hodina
Nespecifikováno 4180
Úroveň zkoušky B
Polyvinyl chlorid Dianéal® PD2 4.25% GlukÛza (Baxter) 0,5 UI/ml
injekce   Heparin sodium   
injekce   Meropenem 0,5 mg/ml
4°C
168 Hodina
Nespecifikováno 4180
Úroveň zkoušky B
Polyvinyl chlorid Dianéal® PD2 2.5% glucose (Baxter) 0,5 UI/ml
injekce   Heparin sodium   
injekce   Piperacillin sodium / tazobactam 0,5/0,0625 mg/ml
37°C
10 Hodina
Nespecifikováno 4180
Úroveň zkoušky B
Polyvinyl chlorid Dianéal® PD2 2.5% glucose (Baxter) 0,5 UI/ml
injekce   Heparin sodium   
injekce   Meropenem 0,5 mg/ml
37°C
10 Hodina
Nespecifikováno 4180
Úroveň zkoušky B
Polyvinyl chlorid Dianéal® PD2 2.5% glucose (Baxter) 0.5 UI/ml
injekce   Heparin sodium   
injekce   Ceftazidime 0.125 mg/ml
37°C
12 Hodina
Nespecifikováno 4056
Úroveň zkoušky B+
Polyvinyl chlorid Dianéal® PD2 2.5% glucose (Baxter) 0.5 UI/ml
injekce   Heparin sodium   
injekce   Ceftazidime 0.125 mg/ml
4°C
120 Hodina
Nespecifikováno 4056
Úroveň zkoušky B+
Polyvinyl chlorid Dianéal® PD2 2.5% glucose (Baxter) 0,5 UI/ml
injekce   Heparin sodium   
injekce   Piperacillin sodium / tazobactam 0,5/0,0625 mg/ml
4°C
168 Hodina
Nespecifikováno 4180
Úroveň zkoušky B
Polyvinyl chlorid Dianéal® PD2 2.5% glucose (Baxter) 0,5 UI/ml
injekce   Heparin sodium   
injekce   Meropenem 0,5 mg/ml
4°C
168 Hodina
Nespecifikováno 4180
Úroveň zkoušky B
Polyvinyl chlorid Extraneal® (Baxter) 0,5 UI/ml
injekce   Heparin sodium   
injekce   Piperacillin sodium / tazobactam 0,5/0,0625 mg/ml
37°C
10 Hodina
Nespecifikováno 4180
Úroveň zkoušky B
Polyvinyl chlorid Extraneal® (Baxter) 0,5 UI/ml
injekce   Heparin sodium   
injekce   Meropenem 0,5 mg/ml
37°C
10 Hodina
Nespecifikováno 4180
Úroveň zkoušky B
Polyvinyl chlorid Extraneal® (Baxter) 0.5 UI/ml
injekce   Heparin sodium   
injekce   Ceftazidime 0.125 mg/ml
37°C
12 Hodina
Nespecifikováno 4056
Úroveň zkoušky B+
Polyvinyl chlorid Extraneal® (Baxter) 0.5 UI/ml
injekce   Heparin sodium   
injekce   Ceftazidime 0.125 mg/ml
4°C
120 Hodina
Nespecifikováno 4056
Úroveň zkoušky B+
Polyvinyl chlorid Extraneal® (Baxter) 0,5 UI/ml
injekce   Heparin sodium   
injekce   Piperacillin sodium / tazobactam 0,5/0,0625 mg/ml
4°C
168 Hodina
Nespecifikováno 4180
Úroveň zkoušky B
Polyvinyl chlorid Extraneal® (Baxter) 0,5 UI/ml
injekce   Heparin sodium   
injekce   Meropenem 0,5 mg/ml
4°C
168 Hodina
Nespecifikováno 4180
Úroveň zkoušky B
Polyvinyl chlorid Physionéal® 1.36 (Baxter) 1,4 UI/ml
injekce   Heparin sodium   
injekce   Piperacillin sodium / tazobactam 1,38/0,172 mg/ml
37°C
10 Hodina
Nespecifikováno 4180
Úroveň zkoušky B
Polyvinyl chlorid Physionéal® 1.36 (Baxter) 1,4 UI/ml
injekce   Heparin sodium   
injekce   Piperacillin sodium / tazobactam 1,38/0,172 mg/ml
4°C
168 Hodina
Nespecifikováno 4180
Úroveň zkoušky B
Polyvinyl chlorid Physionéal® 2.27 (Baxter) 1,4 UI/ml
injekce   Heparin sodium   
injekce   Piperacillin sodium / tazobactam 1,38/0,172 mg/ml
37°C
10 Hodina
Nespecifikováno 4180
Úroveň zkoušky B
Polyvinyl chlorid Physionéal® 2.27 (Baxter) 1,4 UI/ml
injekce   Heparin sodium   
injekce   Piperacillin sodium / tazobactam 1,38/0,172 mg/ml
4°C
168 Hodina
Nespecifikováno 4180
Úroveň zkoušky B
Polyvinyl chlorid Physionéal® 3.86 (Baxter) 1,4 UI/ml
injekce   Heparin sodium   
injekce   Piperacillin sodium / tazobactam 1,38/0,172 mg/ml
37°C
10 Hodina
Nespecifikováno 4180
Úroveň zkoušky B
Polyvinyl chlorid Physionéal® 3.86 (Baxter) 1,4 UI/ml
injekce   Heparin sodium   
injekce   Piperacillin sodium / tazobactam 1,38/0,172 mg/ml
4°C
168 Hodina
Nespecifikováno 4180
Úroveň zkoušky B
polypropylen Chlorid sodný 0,9% 5000 UI/ml
injekce   Heparin sodium   
injekce   Vancomycin hydrochloride 0,1 mg/ml
4°C
28 Den
Nespecifikováno 3956
Biologická metoda
polypropylen Chlorid sodný 0,9% 5000 UI/ml
injekce   Heparin sodium   
injekce   Gentamicin sulfate 0,1 mg/ml
4°C
28 Den
Nespecifikováno 3956
Biologická metoda
stříkačka polypropylen Chlorid sodný 0,9% 100 UI/ml
injekce   Heparin sodium   
injekce   Vancomycin hydrochloride 0,025 mg/ml
4°C
14 Den
Chráněno před světlem 895
Biologická metoda
stříkačka polypropylen RingerŐs laktátový roztok 100 UI/ml
injekce   Heparin sodium   
injekce   Daptomycin 5 mg/ml
-20°C
14 Den
Chráněno před světlem 3665
Úroveň zkoušky B
stříkačka polypropylen RingerŐs laktátový roztok 100 UI/ml
injekce   Heparin sodium   
injekce   Daptomycin 5 mg/ml
4°C
14 Den
Nespecifikováno 3665
Úroveň zkoušky B
stříkačka polypropylen Žádné 960 UI/ml
injekce   Heparin sodium   
injekce   Fluorouracil 24 mg/ml
37°C
7 Den
Nespecifikováno 163
Úroveň zkoušky B
stříkačka polypropylen Žádné 960 UI/ml
injekce   Heparin sodium   
injekce   Fluorouracil 24 mg/ml
4°C
14 Den
Chráněno před světlem 163
Úroveň zkoušky B
Nespecifikováno Chlorid sodný 0,9% 5000 UI/ml
injekce   Heparin sodium   
injekce   Daptomycin 19,6 mg/ml
22°C-28°C
2 Hodina
Nespecifikováno 1937
Úroveň zkoušky C+

  Mentions Légales