Ultimele actualizari :
27/01/2026
Anticoagulant   Heparin sodium  
Injectabil
Stabilitatea in solutie Stabilitatea in amestec Factorii care influenteaza stabilitatea Compatibilitate Microunde Bibliografie pdf
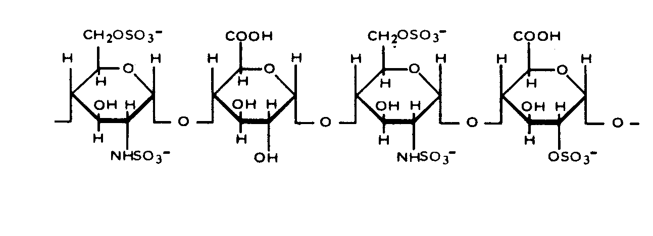
   Formula chimica  

Denumirea comerciala   Denumirea comerciala     

Trade names are indicative and excipients composition can be different depending on the country and manufacturers

Arapin Chilli
Ateroclar Italia
Clarisco Italia
Epsoclar Italia
Hepaflex Finlanda, Norvegia
Hepamax Chilli, Columbia, Ecuador
Heparin Africa de Sud, Austria, Canada, Danemarca, Elvetia, Finlanda, Grecia, Iugoslavia, Marea Britanie, Norvegia, Olanda, rusa, SUA, Suedia, Tailanda, Turcia, Ungaria
Heparine Belgia, Franta
Heparinised Australia
Heparstad Germania
Liquemin Elvetia, Turcia
Liquemine Brazilia
Monoparin Arabia Saudita
Normoparin Italia
Nuparin Ecuador
Pharepa Italia
Riveparin Argentina
Sobrius Argentina, Ecuador
Thrombophob Germania
Stabilitatea in amestec   Injectabil   Stabilitatea in amestec : Heparin sodium     
Continut Solvent Concentratie Molecula (substanta activa) Temperatura Conservare Durata stabilității Bibiografie
sticla clorura de sodiu 0,9% 9,75 UI/ml
Injectabil   Heparin sodium   
Injectabil   Vancomycin hydrochloride 0,025 mg/ml
23°C
85 Ziua
Neprecizat 3958
Analiza biologică
sticla clorura de sodiu 0,9% 50 UI/ml
Injectabil   Heparin sodium   
Injectabil   Magnesium sulfate 15,6 mg/ml
25°C
14 Ziua
Lumina 2100
Analiza biologică
sticla clorura de sodiu 0,9% 2500 UI/ml
Injectabil   Heparin sodium   
Injectabil   Telavancin hydrochloride 2 & 5 mg/ml
Injectabil   Sodium citrate 22 & 40 mg/ml
37°C
72 Ora
Ferit de lumina 3327
Nivel de evidență D
sticla clorura de sodiu 0,9% 2500 UI/ml
Injectabil   Heparin sodium   
Injectabil   Vancomycin hydrochloride 2 & 5 mg/ml
Injectabil   Sodium citrate 22 & 40 mg/ml
37°C
72 Ora
Ferit de lumina 3327
Nivel de evidență D
sticla clorura de sodiu 0,9% 100 UI/ml
Injectabil   Heparin sodium   
Injectabil   Vancomycin hydrochloride 0,025 mg/ml
4°C
63 Ziua
Ferit de lumina 1414
Analiza biologică
sticla clorura de sodiu 0,9% 9,75 UI/ml
Injectabil   Heparin sodium   
Injectabil   Vancomycin hydrochloride 0,025 mg/ml
4°C
85 Ziua
Neprecizat 3958
Analiza biologică
sticla Glucoza 5% 59 UI/ml
Injectabil   Heparin sodium   
Injectabil   Milrinone lactate 0,2 mg/ml
22°C-23°C
4 Ora
Lumina 813
Nivel de evidență A
sticla Glucoza 5% 20 UI/ml
Injectabil   Heparin sodium   
Injectabil   Dopamine hydrochloride 0,8 mg/ml
23°C-25°C
24 Ora
Lumina 738
Joker
sticla Glucoza 5% 50 UI/ml
Injectabil   Heparin sodium   
Injectabil   Palonosetron hydrochloride 25 µg/ml
25°C
4 Ora
Lumina 2279
Nivel de evidență A+
sticla Glucoza 5% 100 UI/ml
Injectabil   Heparin sodium   
Injectabil   Fluconazole 1 mg/ml
25°C
24 Ora
Lumina 257
Nivel de evidență D
clorura de polivinil clorura de sodiu 0,9% 20 & 50 UI/ml
Injectabil   Heparin sodium   
Injectabil   Tirofiban 25 µg/ml
25°C
4 Ora
Lumina 1420
Nivel de evidență C+
clorura de polivinil Glucoza 5% 50 UI/ml
Injectabil   Heparin sodium   
Injectabil   Flumazenil 0,02 mg/ml
23°C
24 Ora
Lumina 187
Nivel de evidență A
clorura de polivinil Glucoza 5% 20 & 50 UI/ml
Injectabil   Heparin sodium   
Injectabil   Tirofiban 25 µg/ml
25°C
4 Ora
Lumina 1420
Nivel de evidență C+
clorura de polivinil Dianéal® PD1 1.5% Glucoza (Baxter) 0,5 UI/ml
Injectabil   Heparin sodium   
Injectabil   Piperacillin sodium / tazobactam 0,5/0,0625 mg/ml
37°C
10 Ora
Neprecizat 4180
Nivel de evidență B
clorura de polivinil Dianéal® PD1 1.5% Glucoza (Baxter) 0,5 UI/ml
Injectabil   Heparin sodium   
Injectabil   Meropenem 0,5 mg/ml
37°C
10 Ora
Neprecizat 4180
Nivel de evidență B
clorura de polivinil Dianéal® PD1 1.5% Glucoza (Baxter) 0,5 UI/ml
Injectabil   Heparin sodium   
Injectabil   Piperacillin sodium / tazobactam 0,5/0,0625 mg/ml
4°C
168 Ora
Neprecizat 4180
Nivel de evidență B
clorura de polivinil Dianéal® PD1 1.5% Glucoza (Baxter) 0,5 UI/ml
Injectabil   Heparin sodium   
Injectabil   Meropenem 0,5 mg/ml
4°C
168 Ora
Neprecizat 4180
Nivel de evidență B
clorura de polivinil Dianéal® PD2 4.25% Glucoza (Baxter) 0,5 UI/ml
Injectabil   Heparin sodium   
Injectabil   Piperacillin sodium / tazobactam 0,5/0,0625 mg/ml
37°C
10 Ora
Neprecizat 4180
Nivel de evidență B
clorura de polivinil Dianéal® PD2 4.25% Glucoza (Baxter) 0,5 UI/ml
Injectabil   Heparin sodium   
Injectabil   Meropenem 0,5 mg/ml
37°C
10 Ora
Neprecizat 4180
Nivel de evidență B
clorura de polivinil Dianéal® PD2 4.25% Glucoza (Baxter) 0.5 UI/ml
Injectabil   Heparin sodium   
Injectabil   Ceftazidime 0.125 mg/ml
37°C
12 Ora
Neprecizat 4056
Nivel de evidență B+
clorura de polivinil Dianéal® PD2 4.25% Glucoza (Baxter) 0.5 UI/ml
Injectabil   Heparin sodium   
Injectabil   Ceftazidime 0.125 mg/ml
4°C
120 Ora
Neprecizat 4056
Nivel de evidență B+
clorura de polivinil Dianéal® PD2 4.25% Glucoza (Baxter) 0,5 UI/ml
Injectabil   Heparin sodium   
Injectabil   Piperacillin sodium / tazobactam 0,5/0,0625 mg/ml
4°C
168 Ora
Neprecizat 4180
Nivel de evidență B
clorura de polivinil Dianéal® PD2 4.25% Glucoza (Baxter) 0,5 UI/ml
Injectabil   Heparin sodium   
Injectabil   Meropenem 0,5 mg/ml
4°C
168 Ora
Neprecizat 4180
Nivel de evidență B
clorura de polivinil Dianéal® PD2 2.5% glucose (Baxter) 0,5 UI/ml
Injectabil   Heparin sodium   
Injectabil   Piperacillin sodium / tazobactam 0,5/0,0625 mg/ml
37°C
10 Ora
Neprecizat 4180
Nivel de evidență B
clorura de polivinil Dianéal® PD2 2.5% glucose (Baxter) 0,5 UI/ml
Injectabil   Heparin sodium   
Injectabil   Meropenem 0,5 mg/ml
37°C
10 Ora
Neprecizat 4180
Nivel de evidență B
clorura de polivinil Dianéal® PD2 2.5% glucose (Baxter) 0.5 UI/ml
Injectabil   Heparin sodium   
Injectabil   Ceftazidime 0.125 mg/ml
37°C
12 Ora
Neprecizat 4056
Nivel de evidență B+
clorura de polivinil Dianéal® PD2 2.5% glucose (Baxter) 0.5 UI/ml
Injectabil   Heparin sodium   
Injectabil   Ceftazidime 0.125 mg/ml
4°C
120 Ora
Neprecizat 4056
Nivel de evidență B+
clorura de polivinil Dianéal® PD2 2.5% glucose (Baxter) 0,5 UI/ml
Injectabil   Heparin sodium   
Injectabil   Piperacillin sodium / tazobactam 0,5/0,0625 mg/ml
4°C
168 Ora
Neprecizat 4180
Nivel de evidență B
clorura de polivinil Dianéal® PD2 2.5% glucose (Baxter) 0,5 UI/ml
Injectabil   Heparin sodium   
Injectabil   Meropenem 0,5 mg/ml
4°C
168 Ora
Neprecizat 4180
Nivel de evidență B
clorura de polivinil Extraneal® (Baxter) 0,5 UI/ml
Injectabil   Heparin sodium   
Injectabil   Piperacillin sodium / tazobactam 0,5/0,0625 mg/ml
37°C
10 Ora
Neprecizat 4180
Nivel de evidență B
clorura de polivinil Extraneal® (Baxter) 0,5 UI/ml
Injectabil   Heparin sodium   
Injectabil   Meropenem 0,5 mg/ml
37°C
10 Ora
Neprecizat 4180
Nivel de evidență B
clorura de polivinil Extraneal® (Baxter) 0.5 UI/ml
Injectabil   Heparin sodium   
Injectabil   Ceftazidime 0.125 mg/ml
37°C
12 Ora
Neprecizat 4056
Nivel de evidență B+
clorura de polivinil Extraneal® (Baxter) 0.5 UI/ml
Injectabil   Heparin sodium   
Injectabil   Ceftazidime 0.125 mg/ml
4°C
120 Ora
Neprecizat 4056
Nivel de evidență B+
clorura de polivinil Extraneal® (Baxter) 0,5 UI/ml
Injectabil   Heparin sodium   
Injectabil   Piperacillin sodium / tazobactam 0,5/0,0625 mg/ml
4°C
168 Ora
Neprecizat 4180
Nivel de evidență B
clorura de polivinil Extraneal® (Baxter) 0,5 UI/ml
Injectabil   Heparin sodium   
Injectabil   Meropenem 0,5 mg/ml
4°C
168 Ora
Neprecizat 4180
Nivel de evidență B
clorura de polivinil Physionéal® 1.36 (Baxter) 1,4 UI/ml
Injectabil   Heparin sodium   
Injectabil   Piperacillin sodium / tazobactam 1,38/0,172 mg/ml
37°C
10 Ora
Neprecizat 4180
Nivel de evidență B
clorura de polivinil Physionéal® 1.36 (Baxter) 1,4 UI/ml
Injectabil   Heparin sodium   
Injectabil   Piperacillin sodium / tazobactam 1,38/0,172 mg/ml
4°C
168 Ora
Neprecizat 4180
Nivel de evidență B
clorura de polivinil Physionéal® 2.27 (Baxter) 1,4 UI/ml
Injectabil   Heparin sodium   
Injectabil   Piperacillin sodium / tazobactam 1,38/0,172 mg/ml
37°C
10 Ora
Neprecizat 4180
Nivel de evidență B
clorura de polivinil Physionéal® 2.27 (Baxter) 1,4 UI/ml
Injectabil   Heparin sodium   
Injectabil   Piperacillin sodium / tazobactam 1,38/0,172 mg/ml
4°C
168 Ora
Neprecizat 4180
Nivel de evidență B
clorura de polivinil Physionéal® 3.86 (Baxter) 1,4 UI/ml
Injectabil   Heparin sodium   
Injectabil   Piperacillin sodium / tazobactam 1,38/0,172 mg/ml
37°C
10 Ora
Neprecizat 4180
Nivel de evidență B
clorura de polivinil Physionéal® 3.86 (Baxter) 1,4 UI/ml
Injectabil   Heparin sodium   
Injectabil   Piperacillin sodium / tazobactam 1,38/0,172 mg/ml
4°C
168 Ora
Neprecizat 4180
Nivel de evidență B
polipropilen clorura de sodiu 0,9% 5000 UI/ml
Injectabil   Heparin sodium   
Injectabil   Vancomycin hydrochloride 0,1 mg/ml
4°C
28 Ziua
Neprecizat 3956
Analiza biologică
polipropilen clorura de sodiu 0,9% 5000 UI/ml
Injectabil   Heparin sodium   
Injectabil   Gentamicin sulfate 0,1 mg/ml
4°C
28 Ziua
Neprecizat 3956
Analiza biologică
seringă polipropileno clorura de sodiu 0,9% 100 UI/ml
Injectabil   Heparin sodium   
Injectabil   Vancomycin hydrochloride 0,025 mg/ml
4°C
14 Ziua
Ferit de lumina 895
Analiza biologică
seringă polipropileno Solutie Ringer lactat 100 UI/ml
Injectabil   Heparin sodium   
Injectabil   Daptomycin 5 mg/ml
-20°C
14 Ziua
Ferit de lumina 3665
Nivel de evidență B
seringă polipropileno Solutie Ringer lactat 100 UI/ml
Injectabil   Heparin sodium   
Injectabil   Daptomycin 5 mg/ml
4°C
14 Ziua
Neprecizat 3665
Nivel de evidență B
seringă polipropileno fara 960 UI/ml
Injectabil   Heparin sodium   
Injectabil   Fluorouracil 24 mg/ml
37°C
7 Ziua
Neprecizat 163
Nivel de evidență B
seringă polipropileno fara 960 UI/ml
Injectabil   Heparin sodium   
Injectabil   Fluorouracil 24 mg/ml
4°C
14 Ziua
Ferit de lumina 163
Nivel de evidență B
neprecizat clorura de sodiu 0,9% 5000 UI/ml
Injectabil   Heparin sodium   
Injectabil   Daptomycin 19,6 mg/ml
22°C-28°C
2 Ora
Neprecizat 1937
Nivel de evidență C+

  Mentions Légales