Siste oppdatering :
27/01/2026
Antikoagulantia   Heparin sodium  
Injeksjon
Oppløsningsstabilitet Stabilitet i blandinger Faktorer som påvirker stabiliteten Kompatibilitet Administrasjonsmåte Referanser pdf
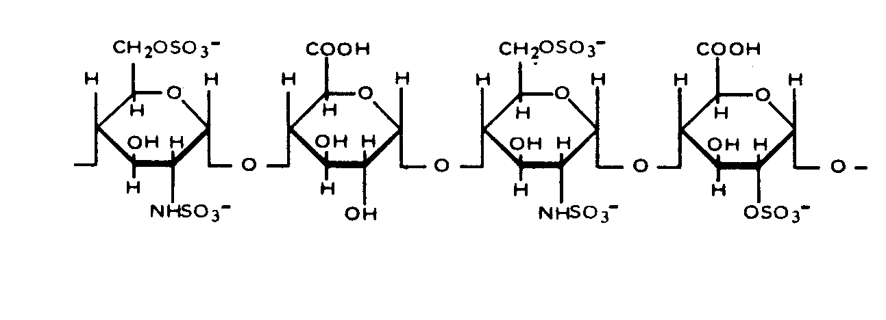
   Kjemisk struktur  

Handelsnavn   Handelsnavn     

Handelsnavn er veiledende og sammensetning av hjelpestoffer kan være forskjellig avhengig av land og produsent

Arapin Chile
Ateroclar Italia
Clarisco Italia
Epsoclar Italia
Hepaflex Finland, Norge
Hepamax Chile, Colombia, Ecuador
Heparin Canada, Danmark, Finland, Hellas, Jugoslavia, Nederland, Norge, russisk, Storbritannia, Sveits, Sverige, Sør-Afrika, Thailand, Tyrkia, Ungarn, USA, Østerrike
Heparine Belgia, Frankrike
Heparinised Australia
Heparstad Tyskland
Liquemin Sveits, Tyrkia
Liquemine Brasil
Monoparin Saudi-Arabia
Normoparin Italia
Nuparin Ecuador
Pharepa Italia
Riveparin Argentina
Sobrius Argentina, Ecuador
Thrombophob Tyskland
Stabilitet i blandinger   Injeksjon   Stabilitet i blandinger : Heparin sodium     
Beholder Oppløsningsmiddel Konsentrasjon Legemiddel Temperatur Oppbevaring Varighet av stabilitet Referanser
Glass Natriumklorid 0,9 % 9,75 UI/ml
Injeksjon   Heparin sodium   
Injeksjon   Vancomycin hydrochloride 0,025 mg/ml
23°C
85 Dag
Ikke angitt 3958
Biologisk metode
Glass Natriumklorid 0,9 % 50 UI/ml
Injeksjon   Heparin sodium   
Injeksjon   Magnesium sulfate 15,6 mg/ml
25°C
14 Dag
Lys 2100
Biologisk metode
Glass Natriumklorid 0,9 % 2500 UI/ml
Injeksjon   Heparin sodium   
Injeksjon   Telavancin hydrochloride 2 & 5 mg/ml
Injeksjon   Sodium citrate 22 & 40 mg/ml
37°C
72 Tid
Beskyttes mot lys 3327
Bevisgrad D
Glass Natriumklorid 0,9 % 2500 UI/ml
Injeksjon   Heparin sodium   
Injeksjon   Vancomycin hydrochloride 2 & 5 mg/ml
Injeksjon   Sodium citrate 22 & 40 mg/ml
37°C
72 Tid
Beskyttes mot lys 3327
Bevisgrad D
Glass Natriumklorid 0,9 % 100 UI/ml
Injeksjon   Heparin sodium   
Injeksjon   Vancomycin hydrochloride 0,025 mg/ml
4°C
63 Dag
Beskyttes mot lys 1414
Biologisk metode
Glass Natriumklorid 0,9 % 9,75 UI/ml
Injeksjon   Heparin sodium   
Injeksjon   Vancomycin hydrochloride 0,025 mg/ml
4°C
85 Dag
Ikke angitt 3958
Biologisk metode
Glass Glukose 5 % 59 UI/ml
Injeksjon   Heparin sodium   
Injeksjon   Milrinone lactate 0,2 mg/ml
22°C-23°C
4 Tid
Lys 813
Bevisgrad A
Glass Glukose 5 % 20 UI/ml
Injeksjon   Heparin sodium   
Injeksjon   Dopamine hydrochloride 0,8 mg/ml
23°C-25°C
24 Tid
Lys 738
Joker
Glass Glukose 5 % 50 UI/ml
Injeksjon   Heparin sodium   
Injeksjon   Palonosetron hydrochloride 25 µg/ml
25°C
4 Tid
Lys 2279
Bevisgrad A +
Glass Glukose 5 % 100 UI/ml
Injeksjon   Heparin sodium   
Injeksjon   Fluconazole 1 mg/ml
25°C
24 Tid
Lys 257
Bevisgrad D
Polyvinylklorid Natriumklorid 0,9 % 20 & 50 UI/ml
Injeksjon   Heparin sodium   
Injeksjon   Tirofiban 25 µg/ml
25°C
4 Tid
Lys 1420
Bevisgrad C+
Polyvinylklorid Glukose 5 % 50 UI/ml
Injeksjon   Heparin sodium   
Injeksjon   Flumazenil 0,02 mg/ml
23°C
24 Tid
Lys 187
Bevisgrad A
Polyvinylklorid Glukose 5 % 20 & 50 UI/ml
Injeksjon   Heparin sodium   
Injeksjon   Tirofiban 25 µg/ml
25°C
4 Tid
Lys 1420
Bevisgrad C+
Polyvinylklorid Dianéal® PD1 1.5% Glukose (Baxter) 0,5 UI/ml
Injeksjon   Heparin sodium   
Injeksjon   Piperacillin sodium / tazobactam 0,5/0,0625 mg/ml
37°C
10 Tid
Ikke angitt 4180
Bevisgrad B
Polyvinylklorid Dianéal® PD1 1.5% Glukose (Baxter) 0,5 UI/ml
Injeksjon   Heparin sodium   
Injeksjon   Meropenem 0,5 mg/ml
37°C
10 Tid
Ikke angitt 4180
Bevisgrad B
Polyvinylklorid Dianéal® PD1 1.5% Glukose (Baxter) 0,5 UI/ml
Injeksjon   Heparin sodium   
Injeksjon   Piperacillin sodium / tazobactam 0,5/0,0625 mg/ml
4°C
168 Tid
Ikke angitt 4180
Bevisgrad B
Polyvinylklorid Dianéal® PD1 1.5% Glukose (Baxter) 0,5 UI/ml
Injeksjon   Heparin sodium   
Injeksjon   Meropenem 0,5 mg/ml
4°C
168 Tid
Ikke angitt 4180
Bevisgrad B
Polyvinylklorid Dianéal® PD2 4.25% Glukose (Baxter) 0,5 UI/ml
Injeksjon   Heparin sodium   
Injeksjon   Piperacillin sodium / tazobactam 0,5/0,0625 mg/ml
37°C
10 Tid
Ikke angitt 4180
Bevisgrad B
Polyvinylklorid Dianéal® PD2 4.25% Glukose (Baxter) 0,5 UI/ml
Injeksjon   Heparin sodium   
Injeksjon   Meropenem 0,5 mg/ml
37°C
10 Tid
Ikke angitt 4180
Bevisgrad B
Polyvinylklorid Dianéal® PD2 4.25% Glukose (Baxter) 0.5 UI/ml
Injeksjon   Heparin sodium   
Injeksjon   Ceftazidime 0.125 mg/ml
37°C
12 Tid
Ikke angitt 4056
Bevisgrad B+
Polyvinylklorid Dianéal® PD2 4.25% Glukose (Baxter) 0.5 UI/ml
Injeksjon   Heparin sodium   
Injeksjon   Ceftazidime 0.125 mg/ml
4°C
120 Tid
Ikke angitt 4056
Bevisgrad B+
Polyvinylklorid Dianéal® PD2 4.25% Glukose (Baxter) 0,5 UI/ml
Injeksjon   Heparin sodium   
Injeksjon   Piperacillin sodium / tazobactam 0,5/0,0625 mg/ml
4°C
168 Tid
Ikke angitt 4180
Bevisgrad B
Polyvinylklorid Dianéal® PD2 4.25% Glukose (Baxter) 0,5 UI/ml
Injeksjon   Heparin sodium   
Injeksjon   Meropenem 0,5 mg/ml
4°C
168 Tid
Ikke angitt 4180
Bevisgrad B
Polyvinylklorid Dianéal® PD2 2.5% glucose (Baxter) 0,5 UI/ml
Injeksjon   Heparin sodium   
Injeksjon   Piperacillin sodium / tazobactam 0,5/0,0625 mg/ml
37°C
10 Tid
Ikke angitt 4180
Bevisgrad B
Polyvinylklorid Dianéal® PD2 2.5% glucose (Baxter) 0,5 UI/ml
Injeksjon   Heparin sodium   
Injeksjon   Meropenem 0,5 mg/ml
37°C
10 Tid
Ikke angitt 4180
Bevisgrad B
Polyvinylklorid Dianéal® PD2 2.5% glucose (Baxter) 0.5 UI/ml
Injeksjon   Heparin sodium   
Injeksjon   Ceftazidime 0.125 mg/ml
37°C
12 Tid
Ikke angitt 4056
Bevisgrad B+
Polyvinylklorid Dianéal® PD2 2.5% glucose (Baxter) 0.5 UI/ml
Injeksjon   Heparin sodium   
Injeksjon   Ceftazidime 0.125 mg/ml
4°C
120 Tid
Ikke angitt 4056
Bevisgrad B+
Polyvinylklorid Dianéal® PD2 2.5% glucose (Baxter) 0,5 UI/ml
Injeksjon   Heparin sodium   
Injeksjon   Piperacillin sodium / tazobactam 0,5/0,0625 mg/ml
4°C
168 Tid
Ikke angitt 4180
Bevisgrad B
Polyvinylklorid Dianéal® PD2 2.5% glucose (Baxter) 0,5 UI/ml
Injeksjon   Heparin sodium   
Injeksjon   Meropenem 0,5 mg/ml
4°C
168 Tid
Ikke angitt 4180
Bevisgrad B
Polyvinylklorid Extraneal® (Baxter) 0,5 UI/ml
Injeksjon   Heparin sodium   
Injeksjon   Piperacillin sodium / tazobactam 0,5/0,0625 mg/ml
37°C
10 Tid
Ikke angitt 4180
Bevisgrad B
Polyvinylklorid Extraneal® (Baxter) 0,5 UI/ml
Injeksjon   Heparin sodium   
Injeksjon   Meropenem 0,5 mg/ml
37°C
10 Tid
Ikke angitt 4180
Bevisgrad B
Polyvinylklorid Extraneal® (Baxter) 0.5 UI/ml
Injeksjon   Heparin sodium   
Injeksjon   Ceftazidime 0.125 mg/ml
37°C
12 Tid
Ikke angitt 4056
Bevisgrad B+
Polyvinylklorid Extraneal® (Baxter) 0.5 UI/ml
Injeksjon   Heparin sodium   
Injeksjon   Ceftazidime 0.125 mg/ml
4°C
120 Tid
Ikke angitt 4056
Bevisgrad B+
Polyvinylklorid Extraneal® (Baxter) 0,5 UI/ml
Injeksjon   Heparin sodium   
Injeksjon   Piperacillin sodium / tazobactam 0,5/0,0625 mg/ml
4°C
168 Tid
Ikke angitt 4180
Bevisgrad B
Polyvinylklorid Extraneal® (Baxter) 0,5 UI/ml
Injeksjon   Heparin sodium   
Injeksjon   Meropenem 0,5 mg/ml
4°C
168 Tid
Ikke angitt 4180
Bevisgrad B
Polyvinylklorid Physionéal® 1.36 (Baxter) 1,4 UI/ml
Injeksjon   Heparin sodium   
Injeksjon   Piperacillin sodium / tazobactam 1,38/0,172 mg/ml
37°C
10 Tid
Ikke angitt 4180
Bevisgrad B
Polyvinylklorid Physionéal® 1.36 (Baxter) 1,4 UI/ml
Injeksjon   Heparin sodium   
Injeksjon   Piperacillin sodium / tazobactam 1,38/0,172 mg/ml
4°C
168 Tid
Ikke angitt 4180
Bevisgrad B
Polyvinylklorid Physionéal® 2.27 (Baxter) 1,4 UI/ml
Injeksjon   Heparin sodium   
Injeksjon   Piperacillin sodium / tazobactam 1,38/0,172 mg/ml
37°C
10 Tid
Ikke angitt 4180
Bevisgrad B
Polyvinylklorid Physionéal® 2.27 (Baxter) 1,4 UI/ml
Injeksjon   Heparin sodium   
Injeksjon   Piperacillin sodium / tazobactam 1,38/0,172 mg/ml
4°C
168 Tid
Ikke angitt 4180
Bevisgrad B
Polyvinylklorid Physionéal® 3.86 (Baxter) 1,4 UI/ml
Injeksjon   Heparin sodium   
Injeksjon   Piperacillin sodium / tazobactam 1,38/0,172 mg/ml
37°C
10 Tid
Ikke angitt 4180
Bevisgrad B
Polyvinylklorid Physionéal® 3.86 (Baxter) 1,4 UI/ml
Injeksjon   Heparin sodium   
Injeksjon   Piperacillin sodium / tazobactam 1,38/0,172 mg/ml
4°C
168 Tid
Ikke angitt 4180
Bevisgrad B
Polypropylen Natriumklorid 0,9 % 5000 UI/ml
Injeksjon   Heparin sodium   
Injeksjon   Vancomycin hydrochloride 0,1 mg/ml
4°C
28 Dag
Ikke angitt 3956
Biologisk metode
Polypropylen Natriumklorid 0,9 % 5000 UI/ml
Injeksjon   Heparin sodium   
Injeksjon   Gentamicin sulfate 0,1 mg/ml
4°C
28 Dag
Ikke angitt 3956
Biologisk metode
Sprøyte polypropylen Natriumklorid 0,9 % 100 UI/ml
Injeksjon   Heparin sodium   
Injeksjon   Vancomycin hydrochloride 0,025 mg/ml
4°C
14 Dag
Beskyttes mot lys 895
Biologisk metode
Sprøyte polypropylen Ringers laktatoppløsning 100 UI/ml
Injeksjon   Heparin sodium   
Injeksjon   Daptomycin 5 mg/ml
-20°C
14 Dag
Beskyttes mot lys 3665
Bevisgrad B
Sprøyte polypropylen Ringers laktatoppløsning 100 UI/ml
Injeksjon   Heparin sodium   
Injeksjon   Daptomycin 5 mg/ml
4°C
14 Dag
Ikke angitt 3665
Bevisgrad B
Sprøyte polypropylen Ingen 960 UI/ml
Injeksjon   Heparin sodium   
Injeksjon   Fluorouracil 24 mg/ml
37°C
7 Dag
Ikke angitt 163
Bevisgrad B
Sprøyte polypropylen Ingen 960 UI/ml
Injeksjon   Heparin sodium   
Injeksjon   Fluorouracil 24 mg/ml
4°C
14 Dag
Beskyttes mot lys 163
Bevisgrad B
Ikke angitt Natriumklorid 0,9 % 5000 UI/ml
Injeksjon   Heparin sodium   
Injeksjon   Daptomycin 19,6 mg/ml
22°C-28°C
2 Tid
Ikke angitt 1937
Bevisgrad C+

  Mentions Légales