Seneste opdatering :
27/01/2026
Antikoagulant   Heparin sodium  
Injektion
Stabilitet i (vandige) opløsninger Stabilitet i blandinger Faktorer der påvirker stabiliteten Kompatibilitet Administrationsvej Bibliografi pdf
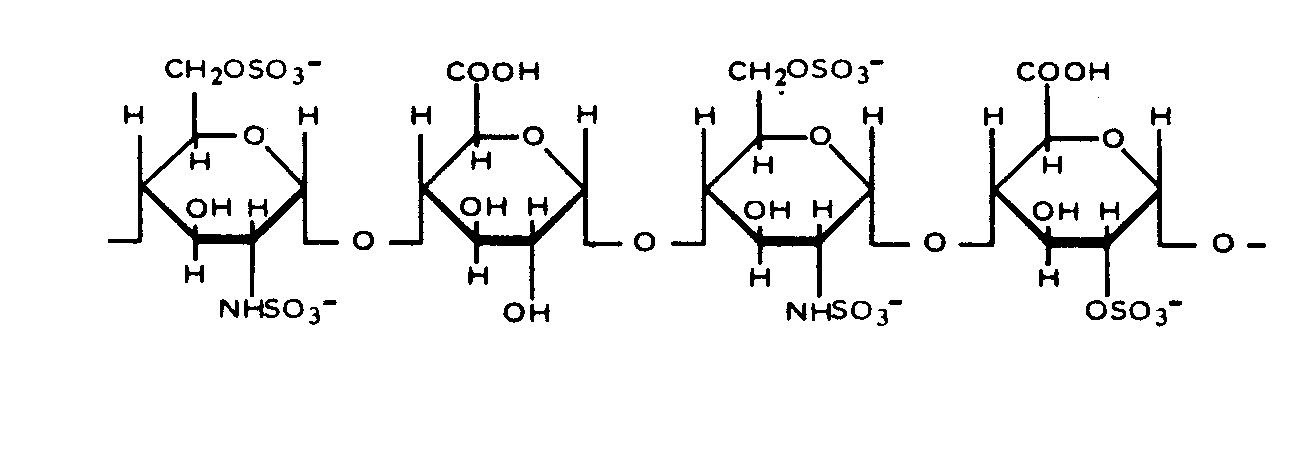
   Kemisk struktur  

Handelsnavn   Handelsnavn     

Handel navne er vejledende og hjælpestoffer sammensætning kan være forskellig afhængigt af landet og laboratorier

Arapin Chile
Ateroclar Italien
Clarisco Italien
Epsoclar Italien
Hepaflex Finland, Norge
Hepamax Chile, Colombia, Ecuador
Heparin Canada, Danmark, Finland, Grækenland, Holland, Jugoslavien, Norge, russisk, Schweiz, Storbritanien, Sverige, Sydafrika, Thailand, Tyrkiet, Ungarn, USA, Østrig
Heparine Belgien, Frankrig
Heparinised Australien
Heparstad Tyskland
Liquemin Schweiz, Tyrkiet
Liquemine Brasilien
Monoparin Saudi-Arabien
Normoparin Italien
Nuparin Ecuador
Pharepa Italien
Riveparin Argentina
Sobrius Argentina, Ecuador
Thrombophob Tyskland
Stabilitet i blandinger   Injektion   Stabilitet i blandinger : Heparin sodium     
Beholder Opløsningsmiddel Koncentration Molekyle Temperatur Konservering Varighed af stabilitet Bibliografi
Glas 0,9 % Natriumklorid 9,75 UI/ml
Injektion   Heparin sodium   
Injektion   Vancomycin hydrochloride 0,025 mg/ml
23°C
85 Dag
Ikke nærmere angivet 3958
biologisk analyse
Glas 0,9 % Natriumklorid 50 UI/ml
Injektion   Heparin sodium   
Injektion   Magnesium sulfate 15,6 mg/ml
25°C
14 Dag
Lys 2100
biologisk analyse
Glas 0,9 % Natriumklorid 2500 UI/ml
Injektion   Heparin sodium   
Injektion   Telavancin hydrochloride 2 & 5 mg/ml
Injektion   Sodium citrate 22 & 40 mg/ml
37°C
72 Time
Beskyt mod lys 3327
Level af bevismateriale D
Glas 0,9 % Natriumklorid 2500 UI/ml
Injektion   Heparin sodium   
Injektion   Vancomycin hydrochloride 2 & 5 mg/ml
Injektion   Sodium citrate 22 & 40 mg/ml
37°C
72 Time
Beskyt mod lys 3327
Level af bevismateriale D
Glas 0,9 % Natriumklorid 100 UI/ml
Injektion   Heparin sodium   
Injektion   Vancomycin hydrochloride 0,025 mg/ml
4°C
63 Dag
Beskyt mod lys 1414
biologisk analyse
Glas 0,9 % Natriumklorid 9,75 UI/ml
Injektion   Heparin sodium   
Injektion   Vancomycin hydrochloride 0,025 mg/ml
4°C
85 Dag
Ikke nærmere angivet 3958
biologisk analyse
Glas 5 % Glukose 59 UI/ml
Injektion   Heparin sodium   
Injektion   Milrinone lactate 0,2 mg/ml
22°C-23°C
4 Time
Lys 813
Level af bevismateriale A
Glas 5 % Glukose 20 UI/ml
Injektion   Heparin sodium   
Injektion   Dopamine hydrochloride 0,8 mg/ml
23°C-25°C
24 Time
Lys 738
Joker
Glas 5 % Glukose 50 UI/ml
Injektion   Heparin sodium   
Injektion   Palonosetron hydrochloride 25 µg/ml
25°C
4 Time
Lys 2279
Level af bevismateriale A+
Glas 5 % Glukose 100 UI/ml
Injektion   Heparin sodium   
Injektion   Fluconazole 1 mg/ml
25°C
24 Time
Lys 257
Level af bevismateriale D
Polyvinylklorid 0,9 % Natriumklorid 20 & 50 UI/ml
Injektion   Heparin sodium   
Injektion   Tirofiban 25 µg/ml
25°C
4 Time
Lys 1420
Level af bevismateriale C+
Polyvinylklorid 5 % Glukose 50 UI/ml
Injektion   Heparin sodium   
Injektion   Flumazenil 0,02 mg/ml
23°C
24 Time
Lys 187
Level af bevismateriale A
Polyvinylklorid 5 % Glukose 20 & 50 UI/ml
Injektion   Heparin sodium   
Injektion   Tirofiban 25 µg/ml
25°C
4 Time
Lys 1420
Level af bevismateriale C+
Polyvinylklorid Dianéal® PD1 1.5% Glukose (Baxter) 0,5 UI/ml
Injektion   Heparin sodium   
Injektion   Piperacillin sodium / tazobactam 0,5/0,0625 mg/ml
37°C
10 Time
Ikke nærmere angivet 4180
Level af bevismateriale B
Polyvinylklorid Dianéal® PD1 1.5% Glukose (Baxter) 0,5 UI/ml
Injektion   Heparin sodium   
Injektion   Meropenem 0,5 mg/ml
37°C
10 Time
Ikke nærmere angivet 4180
Level af bevismateriale B
Polyvinylklorid Dianéal® PD1 1.5% Glukose (Baxter) 0,5 UI/ml
Injektion   Heparin sodium   
Injektion   Piperacillin sodium / tazobactam 0,5/0,0625 mg/ml
4°C
168 Time
Ikke nærmere angivet 4180
Level af bevismateriale B
Polyvinylklorid Dianéal® PD1 1.5% Glukose (Baxter) 0,5 UI/ml
Injektion   Heparin sodium   
Injektion   Meropenem 0,5 mg/ml
4°C
168 Time
Ikke nærmere angivet 4180
Level af bevismateriale B
Polyvinylklorid Dianéal® PD2 4.25% Glukose (Baxter) 0,5 UI/ml
Injektion   Heparin sodium   
Injektion   Piperacillin sodium / tazobactam 0,5/0,0625 mg/ml
37°C
10 Time
Ikke nærmere angivet 4180
Level af bevismateriale B
Polyvinylklorid Dianéal® PD2 4.25% Glukose (Baxter) 0,5 UI/ml
Injektion   Heparin sodium   
Injektion   Meropenem 0,5 mg/ml
37°C
10 Time
Ikke nærmere angivet 4180
Level af bevismateriale B
Polyvinylklorid Dianéal® PD2 4.25% Glukose (Baxter) 0.5 UI/ml
Injektion   Heparin sodium   
Injektion   Ceftazidime 0.125 mg/ml
37°C
12 Time
Ikke nærmere angivet 4056
Level af bevismateriale B+
Polyvinylklorid Dianéal® PD2 4.25% Glukose (Baxter) 0.5 UI/ml
Injektion   Heparin sodium   
Injektion   Ceftazidime 0.125 mg/ml
4°C
120 Time
Ikke nærmere angivet 4056
Level af bevismateriale B+
Polyvinylklorid Dianéal® PD2 4.25% Glukose (Baxter) 0,5 UI/ml
Injektion   Heparin sodium   
Injektion   Piperacillin sodium / tazobactam 0,5/0,0625 mg/ml
4°C
168 Time
Ikke nærmere angivet 4180
Level af bevismateriale B
Polyvinylklorid Dianéal® PD2 4.25% Glukose (Baxter) 0,5 UI/ml
Injektion   Heparin sodium   
Injektion   Meropenem 0,5 mg/ml
4°C
168 Time
Ikke nærmere angivet 4180
Level af bevismateriale B
Polyvinylklorid Dianéal® PD2 2.5% glucose (Baxter) 0,5 UI/ml
Injektion   Heparin sodium   
Injektion   Piperacillin sodium / tazobactam 0,5/0,0625 mg/ml
37°C
10 Time
Ikke nærmere angivet 4180
Level af bevismateriale B
Polyvinylklorid Dianéal® PD2 2.5% glucose (Baxter) 0,5 UI/ml
Injektion   Heparin sodium   
Injektion   Meropenem 0,5 mg/ml
37°C
10 Time
Ikke nærmere angivet 4180
Level af bevismateriale B
Polyvinylklorid Dianéal® PD2 2.5% glucose (Baxter) 0.5 UI/ml
Injektion   Heparin sodium   
Injektion   Ceftazidime 0.125 mg/ml
37°C
12 Time
Ikke nærmere angivet 4056
Level af bevismateriale B+
Polyvinylklorid Dianéal® PD2 2.5% glucose (Baxter) 0.5 UI/ml
Injektion   Heparin sodium   
Injektion   Ceftazidime 0.125 mg/ml
4°C
120 Time
Ikke nærmere angivet 4056
Level af bevismateriale B+
Polyvinylklorid Dianéal® PD2 2.5% glucose (Baxter) 0,5 UI/ml
Injektion   Heparin sodium   
Injektion   Piperacillin sodium / tazobactam 0,5/0,0625 mg/ml
4°C
168 Time
Ikke nærmere angivet 4180
Level af bevismateriale B
Polyvinylklorid Dianéal® PD2 2.5% glucose (Baxter) 0,5 UI/ml
Injektion   Heparin sodium   
Injektion   Meropenem 0,5 mg/ml
4°C
168 Time
Ikke nærmere angivet 4180
Level af bevismateriale B
Polyvinylklorid Extraneal® (Baxter) 0,5 UI/ml
Injektion   Heparin sodium   
Injektion   Piperacillin sodium / tazobactam 0,5/0,0625 mg/ml
37°C
10 Time
Ikke nærmere angivet 4180
Level af bevismateriale B
Polyvinylklorid Extraneal® (Baxter) 0,5 UI/ml
Injektion   Heparin sodium   
Injektion   Meropenem 0,5 mg/ml
37°C
10 Time
Ikke nærmere angivet 4180
Level af bevismateriale B
Polyvinylklorid Extraneal® (Baxter) 0.5 UI/ml
Injektion   Heparin sodium   
Injektion   Ceftazidime 0.125 mg/ml
37°C
12 Time
Ikke nærmere angivet 4056
Level af bevismateriale B+
Polyvinylklorid Extraneal® (Baxter) 0.5 UI/ml
Injektion   Heparin sodium   
Injektion   Ceftazidime 0.125 mg/ml
4°C
120 Time
Ikke nærmere angivet 4056
Level af bevismateriale B+
Polyvinylklorid Extraneal® (Baxter) 0,5 UI/ml
Injektion   Heparin sodium   
Injektion   Piperacillin sodium / tazobactam 0,5/0,0625 mg/ml
4°C
168 Time
Ikke nærmere angivet 4180
Level af bevismateriale B
Polyvinylklorid Extraneal® (Baxter) 0,5 UI/ml
Injektion   Heparin sodium   
Injektion   Meropenem 0,5 mg/ml
4°C
168 Time
Ikke nærmere angivet 4180
Level af bevismateriale B
Polyvinylklorid Physionéal® 1.36 (Baxter) 1,4 UI/ml
Injektion   Heparin sodium   
Injektion   Piperacillin sodium / tazobactam 1,38/0,172 mg/ml
37°C
10 Time
Ikke nærmere angivet 4180
Level af bevismateriale B
Polyvinylklorid Physionéal® 1.36 (Baxter) 1,4 UI/ml
Injektion   Heparin sodium   
Injektion   Piperacillin sodium / tazobactam 1,38/0,172 mg/ml
4°C
168 Time
Ikke nærmere angivet 4180
Level af bevismateriale B
Polyvinylklorid Physionéal® 2.27 (Baxter) 1,4 UI/ml
Injektion   Heparin sodium   
Injektion   Piperacillin sodium / tazobactam 1,38/0,172 mg/ml
37°C
10 Time
Ikke nærmere angivet 4180
Level af bevismateriale B
Polyvinylklorid Physionéal® 2.27 (Baxter) 1,4 UI/ml
Injektion   Heparin sodium   
Injektion   Piperacillin sodium / tazobactam 1,38/0,172 mg/ml
4°C
168 Time
Ikke nærmere angivet 4180
Level af bevismateriale B
Polyvinylklorid Physionéal® 3.86 (Baxter) 1,4 UI/ml
Injektion   Heparin sodium   
Injektion   Piperacillin sodium / tazobactam 1,38/0,172 mg/ml
37°C
10 Time
Ikke nærmere angivet 4180
Level af bevismateriale B
Polyvinylklorid Physionéal® 3.86 (Baxter) 1,4 UI/ml
Injektion   Heparin sodium   
Injektion   Piperacillin sodium / tazobactam 1,38/0,172 mg/ml
4°C
168 Time
Ikke nærmere angivet 4180
Level af bevismateriale B
Polypropylen 0,9 % Natriumklorid 5000 UI/ml
Injektion   Heparin sodium   
Injektion   Vancomycin hydrochloride 0,1 mg/ml
4°C
28 Dag
Ikke nærmere angivet 3956
biologisk analyse
Polypropylen 0,9 % Natriumklorid 5000 UI/ml
Injektion   Heparin sodium   
Injektion   Gentamicin sulfate 0,1 mg/ml
4°C
28 Dag
Ikke nærmere angivet 3956
biologisk analyse
sprøjte polypropylen 0,9 % Natriumklorid 100 UI/ml
Injektion   Heparin sodium   
Injektion   Vancomycin hydrochloride 0,025 mg/ml
4°C
14 Dag
Beskyt mod lys 895
biologisk analyse
sprøjte polypropylen Ringer laktat 100 UI/ml
Injektion   Heparin sodium   
Injektion   Daptomycin 5 mg/ml
-20°C
14 Dag
Beskyt mod lys 3665
Level af bevismateriale B
sprøjte polypropylen Ringer laktat 100 UI/ml
Injektion   Heparin sodium   
Injektion   Daptomycin 5 mg/ml
4°C
14 Dag
Ikke nærmere angivet 3665
Level af bevismateriale B
sprøjte polypropylen Ingen 960 UI/ml
Injektion   Heparin sodium   
Injektion   Fluorouracil 24 mg/ml
37°C
7 Dag
Ikke nærmere angivet 163
Level af bevismateriale B
sprøjte polypropylen Ingen 960 UI/ml
Injektion   Heparin sodium   
Injektion   Fluorouracil 24 mg/ml
4°C
14 Dag
Beskyt mod lys 163
Level af bevismateriale B
Ikke angivet nærmere 0,9 % Natriumklorid 5000 UI/ml
Injektion   Heparin sodium   
Injektion   Daptomycin 19,6 mg/ml
22°C-28°C
2 Time
Ikke nærmere angivet 1937
Level af bevismateriale C+

  Mentions Légales