Ostatnia aktualizacja :
27/01/2026
Antykoagulant   Heparin sodium  
Injekcje
Trwałość roztworów Trwałość w mieszaninie Czynnik wpływający na trwałość Zgodność Sposób podania Bibliografia pdf
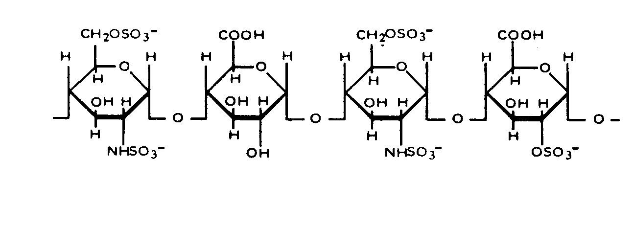
   Struktura chemiczna  

Nazwa handlowa   Nazwa handlowa     

Trade names are indicative and excipients composition can be different depending on the country and manufacturers

Arapin Chile
Ateroclar Włochy
Clarisco Włochy
Epsoclar Włochy
Hepaflex Finlandia, Norwegia
Hepamax Chile, Ekwador, KolumbiaKolumbia
Heparin Afryka Południowa, Austria, Dania, Finlandia, Grecja, Holandia, Jugosławia, Kanada, Norwegia, rosyjski, Stany Zjednoczone Ameryki, Szwajcaria, Szwecja, Tajlandia, Turcja, Węgry, Wielka Brytania
Heparine Belgia, Francja
Heparinised Australia
Heparstad Niemcy
Liquemin Szwajcaria, Turcja
Liquemine Brazylia
Monoparin Arabia Saudyjska
Normoparin Włochy
Nuparin Ekwador
Pharepa Włochy
Riveparin Argentyna
Sobrius Argentyna, Ekwador
Thrombophob Niemcy
Trwałość w mieszaninie   Injekcje   Trwałość w mieszaninie : Heparin sodium     
Pojemnik Rozpuszczalnik Stężenie Związek Temperatura Przechowywanie Czas trwania stabilności Bibliografia
Szkło Chlorek sodu 0,9% 9,75 UI/ml
Injekcje   Heparin sodium   
Injekcje   Vancomycin hydrochloride 0,025 mg/ml
23°C
85 Dzień
Nie wyszczególniony 3958
Analiza biologiczna
Szkło Chlorek sodu 0,9% 50 UI/ml
Injekcje   Heparin sodium   
Injekcje   Magnesium sulfate 15,6 mg/ml
25°C
14 Dzień
światło 2100
Analiza biologiczna
Szkło Chlorek sodu 0,9% 2500 UI/ml
Injekcje   Heparin sodium   
Injekcje   Telavancin hydrochloride 2 & 5 mg/ml
Injekcje   Sodium citrate 22 & 40 mg/ml
37°C
72 Godzina
Chronić od światła 3327
Poziom wiarygodności D
Szkło Chlorek sodu 0,9% 2500 UI/ml
Injekcje   Heparin sodium   
Injekcje   Vancomycin hydrochloride 2 & 5 mg/ml
Injekcje   Sodium citrate 22 & 40 mg/ml
37°C
72 Godzina
Chronić od światła 3327
Poziom wiarygodności D
Szkło Chlorek sodu 0,9% 100 UI/ml
Injekcje   Heparin sodium   
Injekcje   Vancomycin hydrochloride 0,025 mg/ml
4°C
63 Dzień
Chronić od światła 1414
Analiza biologiczna
Szkło Chlorek sodu 0,9% 9,75 UI/ml
Injekcje   Heparin sodium   
Injekcje   Vancomycin hydrochloride 0,025 mg/ml
4°C
85 Dzień
Nie wyszczególniony 3958
Analiza biologiczna
Szkło Glukoza 5% 59 UI/ml
Injekcje   Heparin sodium   
Injekcje   Milrinone lactate 0,2 mg/ml
22°C-23°C
4 Godzina
światło 813
Poziom wiarygodności A
Szkło Glukoza 5% 20 UI/ml
Injekcje   Heparin sodium   
Injekcje   Dopamine hydrochloride 0,8 mg/ml
23°C-25°C
24 Godzina
światło 738
Joker
Szkło Glukoza 5% 50 UI/ml
Injekcje   Heparin sodium   
Injekcje   Palonosetron hydrochloride 25 µg/ml
25°C
4 Godzina
światło 2279
Poziom wiarygodności A+
Szkło Glukoza 5% 100 UI/ml
Injekcje   Heparin sodium   
Injekcje   Fluconazole 1 mg/ml
25°C
24 Godzina
światło 257
Poziom wiarygodności D
Polichlorek winylu Chlorek sodu 0,9% 20 & 50 UI/ml
Injekcje   Heparin sodium   
Injekcje   Tirofiban 25 µg/ml
25°C
4 Godzina
światło 1420
Poziom wiarygodności C+
Polichlorek winylu Glukoza 5% 50 UI/ml
Injekcje   Heparin sodium   
Injekcje   Flumazenil 0,02 mg/ml
23°C
24 Godzina
światło 187
Poziom wiarygodności A
Polichlorek winylu Glukoza 5% 20 & 50 UI/ml
Injekcje   Heparin sodium   
Injekcje   Tirofiban 25 µg/ml
25°C
4 Godzina
światło 1420
Poziom wiarygodności C+
Polichlorek winylu Dianéal® PD1 1.5% Glukoza (Baxter) 0,5 UI/ml
Injekcje   Heparin sodium   
Injekcje   Piperacillin sodium / tazobactam 0,5/0,0625 mg/ml
37°C
10 Godzina
Nie wyszczególniony 4180
Poziom wiarygodności B
Polichlorek winylu Dianéal® PD1 1.5% Glukoza (Baxter) 0,5 UI/ml
Injekcje   Heparin sodium   
Injekcje   Meropenem 0,5 mg/ml
37°C
10 Godzina
Nie wyszczególniony 4180
Poziom wiarygodności B
Polichlorek winylu Dianéal® PD1 1.5% Glukoza (Baxter) 0,5 UI/ml
Injekcje   Heparin sodium   
Injekcje   Piperacillin sodium / tazobactam 0,5/0,0625 mg/ml
4°C
168 Godzina
Nie wyszczególniony 4180
Poziom wiarygodności B
Polichlorek winylu Dianéal® PD1 1.5% Glukoza (Baxter) 0,5 UI/ml
Injekcje   Heparin sodium   
Injekcje   Meropenem 0,5 mg/ml
4°C
168 Godzina
Nie wyszczególniony 4180
Poziom wiarygodności B
Polichlorek winylu Dianéal® PD2 4.25% Glukoza (Baxter) 0,5 UI/ml
Injekcje   Heparin sodium   
Injekcje   Piperacillin sodium / tazobactam 0,5/0,0625 mg/ml
37°C
10 Godzina
Nie wyszczególniony 4180
Poziom wiarygodności B
Polichlorek winylu Dianéal® PD2 4.25% Glukoza (Baxter) 0,5 UI/ml
Injekcje   Heparin sodium   
Injekcje   Meropenem 0,5 mg/ml
37°C
10 Godzina
Nie wyszczególniony 4180
Poziom wiarygodności B
Polichlorek winylu Dianéal® PD2 4.25% Glukoza (Baxter) 0.5 UI/ml
Injekcje   Heparin sodium   
Injekcje   Ceftazidime 0.125 mg/ml
37°C
12 Godzina
Nie wyszczególniony 4056
Poziom wiarygodności B+
Polichlorek winylu Dianéal® PD2 4.25% Glukoza (Baxter) 0.5 UI/ml
Injekcje   Heparin sodium   
Injekcje   Ceftazidime 0.125 mg/ml
4°C
120 Godzina
Nie wyszczególniony 4056
Poziom wiarygodności B+
Polichlorek winylu Dianéal® PD2 4.25% Glukoza (Baxter) 0,5 UI/ml
Injekcje   Heparin sodium   
Injekcje   Piperacillin sodium / tazobactam 0,5/0,0625 mg/ml
4°C
168 Godzina
Nie wyszczególniony 4180
Poziom wiarygodności B
Polichlorek winylu Dianéal® PD2 4.25% Glukoza (Baxter) 0,5 UI/ml
Injekcje   Heparin sodium   
Injekcje   Meropenem 0,5 mg/ml
4°C
168 Godzina
Nie wyszczególniony 4180
Poziom wiarygodności B
Polichlorek winylu Dianéal® PD2 2.5% glucose (Baxter) 0,5 UI/ml
Injekcje   Heparin sodium   
Injekcje   Piperacillin sodium / tazobactam 0,5/0,0625 mg/ml
37°C
10 Godzina
Nie wyszczególniony 4180
Poziom wiarygodności B
Polichlorek winylu Dianéal® PD2 2.5% glucose (Baxter) 0,5 UI/ml
Injekcje   Heparin sodium   
Injekcje   Meropenem 0,5 mg/ml
37°C
10 Godzina
Nie wyszczególniony 4180
Poziom wiarygodności B
Polichlorek winylu Dianéal® PD2 2.5% glucose (Baxter) 0.5 UI/ml
Injekcje   Heparin sodium   
Injekcje   Ceftazidime 0.125 mg/ml
37°C
12 Godzina
Nie wyszczególniony 4056
Poziom wiarygodności B+
Polichlorek winylu Dianéal® PD2 2.5% glucose (Baxter) 0.5 UI/ml
Injekcje   Heparin sodium   
Injekcje   Ceftazidime 0.125 mg/ml
4°C
120 Godzina
Nie wyszczególniony 4056
Poziom wiarygodności B+
Polichlorek winylu Dianéal® PD2 2.5% glucose (Baxter) 0,5 UI/ml
Injekcje   Heparin sodium   
Injekcje   Piperacillin sodium / tazobactam 0,5/0,0625 mg/ml
4°C
168 Godzina
Nie wyszczególniony 4180
Poziom wiarygodności B
Polichlorek winylu Dianéal® PD2 2.5% glucose (Baxter) 0,5 UI/ml
Injekcje   Heparin sodium   
Injekcje   Meropenem 0,5 mg/ml
4°C
168 Godzina
Nie wyszczególniony 4180
Poziom wiarygodności B
Polichlorek winylu Extraneal® (Baxter) 0,5 UI/ml
Injekcje   Heparin sodium   
Injekcje   Piperacillin sodium / tazobactam 0,5/0,0625 mg/ml
37°C
10 Godzina
Nie wyszczególniony 4180
Poziom wiarygodności B
Polichlorek winylu Extraneal® (Baxter) 0,5 UI/ml
Injekcje   Heparin sodium   
Injekcje   Meropenem 0,5 mg/ml
37°C
10 Godzina
Nie wyszczególniony 4180
Poziom wiarygodności B
Polichlorek winylu Extraneal® (Baxter) 0.5 UI/ml
Injekcje   Heparin sodium   
Injekcje   Ceftazidime 0.125 mg/ml
37°C
12 Godzina
Nie wyszczególniony 4056
Poziom wiarygodności B+
Polichlorek winylu Extraneal® (Baxter) 0.5 UI/ml
Injekcje   Heparin sodium   
Injekcje   Ceftazidime 0.125 mg/ml
4°C
120 Godzina
Nie wyszczególniony 4056
Poziom wiarygodności B+
Polichlorek winylu Extraneal® (Baxter) 0,5 UI/ml
Injekcje   Heparin sodium   
Injekcje   Piperacillin sodium / tazobactam 0,5/0,0625 mg/ml
4°C
168 Godzina
Nie wyszczególniony 4180
Poziom wiarygodności B
Polichlorek winylu Extraneal® (Baxter) 0,5 UI/ml
Injekcje   Heparin sodium   
Injekcje   Meropenem 0,5 mg/ml
4°C
168 Godzina
Nie wyszczególniony 4180
Poziom wiarygodności B
Polichlorek winylu Physionéal® 1.36 (Baxter) 1,4 UI/ml
Injekcje   Heparin sodium   
Injekcje   Piperacillin sodium / tazobactam 1,38/0,172 mg/ml
37°C
10 Godzina
Nie wyszczególniony 4180
Poziom wiarygodności B
Polichlorek winylu Physionéal® 1.36 (Baxter) 1,4 UI/ml
Injekcje   Heparin sodium   
Injekcje   Piperacillin sodium / tazobactam 1,38/0,172 mg/ml
4°C
168 Godzina
Nie wyszczególniony 4180
Poziom wiarygodności B
Polichlorek winylu Physionéal® 2.27 (Baxter) 1,4 UI/ml
Injekcje   Heparin sodium   
Injekcje   Piperacillin sodium / tazobactam 1,38/0,172 mg/ml
37°C
10 Godzina
Nie wyszczególniony 4180
Poziom wiarygodności B
Polichlorek winylu Physionéal® 2.27 (Baxter) 1,4 UI/ml
Injekcje   Heparin sodium   
Injekcje   Piperacillin sodium / tazobactam 1,38/0,172 mg/ml
4°C
168 Godzina
Nie wyszczególniony 4180
Poziom wiarygodności B
Polichlorek winylu Physionéal® 3.86 (Baxter) 1,4 UI/ml
Injekcje   Heparin sodium   
Injekcje   Piperacillin sodium / tazobactam 1,38/0,172 mg/ml
37°C
10 Godzina
Nie wyszczególniony 4180
Poziom wiarygodności B
Polichlorek winylu Physionéal® 3.86 (Baxter) 1,4 UI/ml
Injekcje   Heparin sodium   
Injekcje   Piperacillin sodium / tazobactam 1,38/0,172 mg/ml
4°C
168 Godzina
Nie wyszczególniony 4180
Poziom wiarygodności B
Polipropylen Chlorek sodu 0,9% 5000 UI/ml
Injekcje   Heparin sodium   
Injekcje   Vancomycin hydrochloride 0,1 mg/ml
4°C
28 Dzień
Nie wyszczególniony 3956
Analiza biologiczna
Polipropylen Chlorek sodu 0,9% 5000 UI/ml
Injekcje   Heparin sodium   
Injekcje   Gentamicin sulfate 0,1 mg/ml
4°C
28 Dzień
Nie wyszczególniony 3956
Analiza biologiczna
Strzykawka Chlorek sodu 0,9% 100 UI/ml
Injekcje   Heparin sodium   
Injekcje   Vancomycin hydrochloride 0,025 mg/ml
4°C
14 Dzień
Chronić od światła 895
Analiza biologiczna
Strzykawka Roztwór Ringera z mleczanem sodowym 100 UI/ml
Injekcje   Heparin sodium   
Injekcje   Daptomycin 5 mg/ml
-20°C
14 Dzień
Chronić od światła 3665
Poziom wiarygodności B
Strzykawka Roztwór Ringera z mleczanem sodowym 100 UI/ml
Injekcje   Heparin sodium   
Injekcje   Daptomycin 5 mg/ml
4°C
14 Dzień
Nie wyszczególniony 3665
Poziom wiarygodności B
Strzykawka Żaden 960 UI/ml
Injekcje   Heparin sodium   
Injekcje   Fluorouracil 24 mg/ml
37°C
7 Dzień
Nie wyszczególniony 163
Poziom wiarygodności B
Strzykawka Żaden 960 UI/ml
Injekcje   Heparin sodium   
Injekcje   Fluorouracil 24 mg/ml
4°C
14 Dzień
Chronić od światła 163
Poziom wiarygodności B
Brak informacji Chlorek sodu 0,9% 5000 UI/ml
Injekcje   Heparin sodium   
Injekcje   Daptomycin 19,6 mg/ml
22°C-28°C
2 Godzina
Nie wyszczególniony 1937
Poziom wiarygodności C+

  Mentions Légales